Senaste uppdateringen :
18/03/2026
Vasodilaterare   Ambrisentan  
Oral lösning
Stabilitet av läkemedel Stabilitet i blandningar Faktorer som påverkar stabiliteten Kompatibilitet Hänvisningar pdf
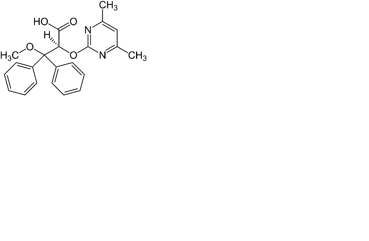
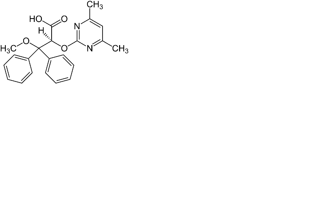
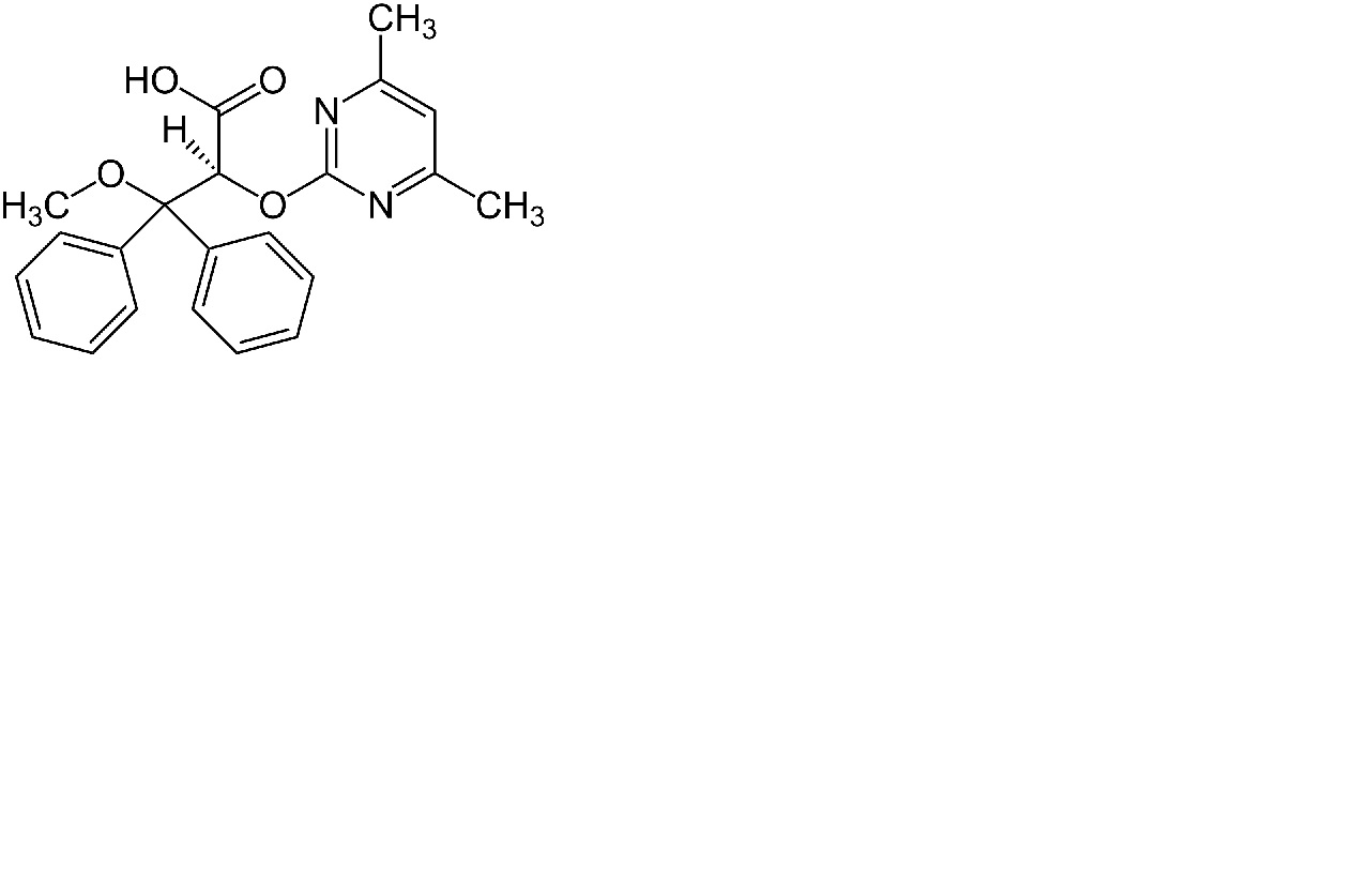
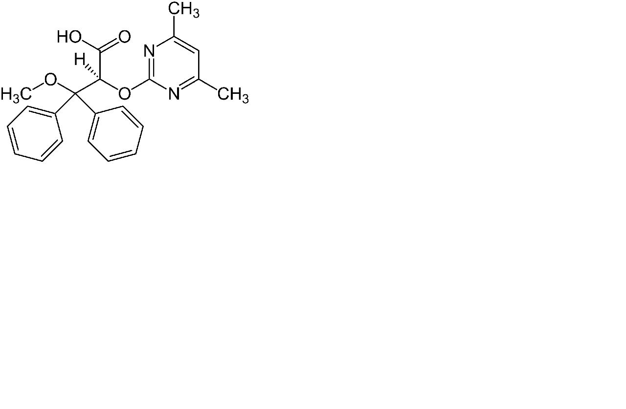
   Molekylstruktur  

Oral lösning

Faktorer som påverkar stabiliteten   Oral lösning   Faktorer som påverkar stabiliteten : Ambrisentan        
Ingen uppgift

  Mentions Légales