Dernière mise à jour :
18/03/2026
Vasodilatateur   Ambrisentan  
Solution buvable
Stabilité des préparations Stabilité en mélange Facteur influençant la stabilité Compatibilités Bibliographie pdf
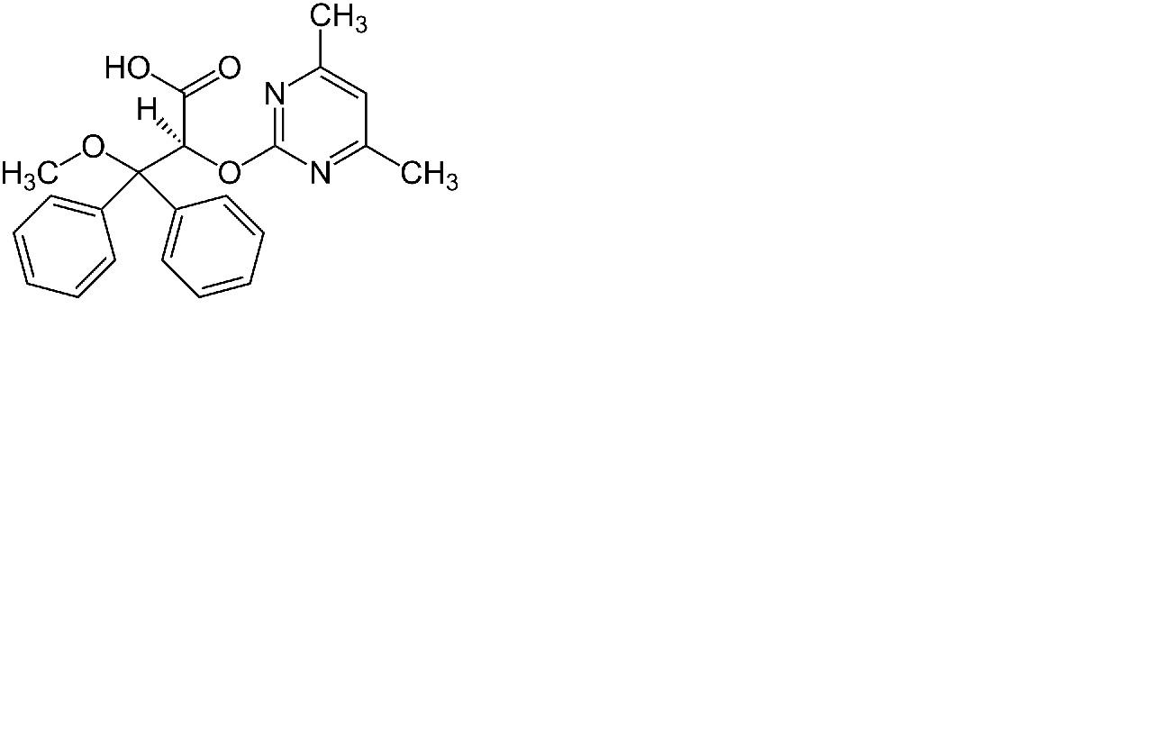
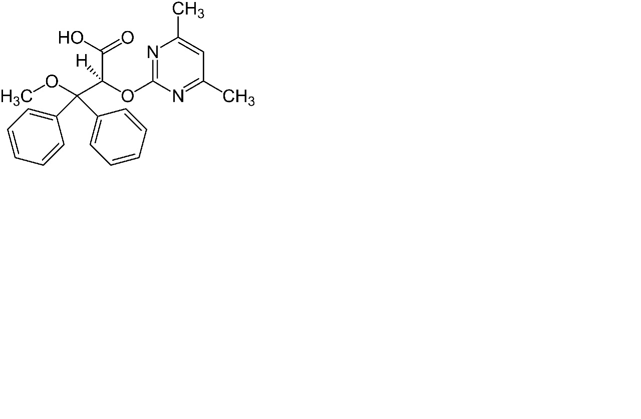
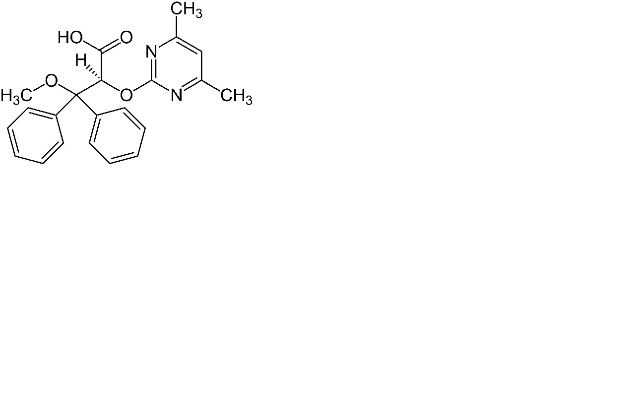
   Structure chimique  

Solution buvable

Facteur influençant la stabilité   Solution buvable   Facteur influençant la stabilité : Ambrisentan        
Aucune donnée

  Mentions Légales