Zadnji put ažurirano :
05/12/2025
vazodilatator   Ambrisentan  
oralna otopina
Stabilnost farmaceutskih pripravaka Stabilnost mješavine Stabilizacijski faktor Kompatibilnosti Bibliografija pdf
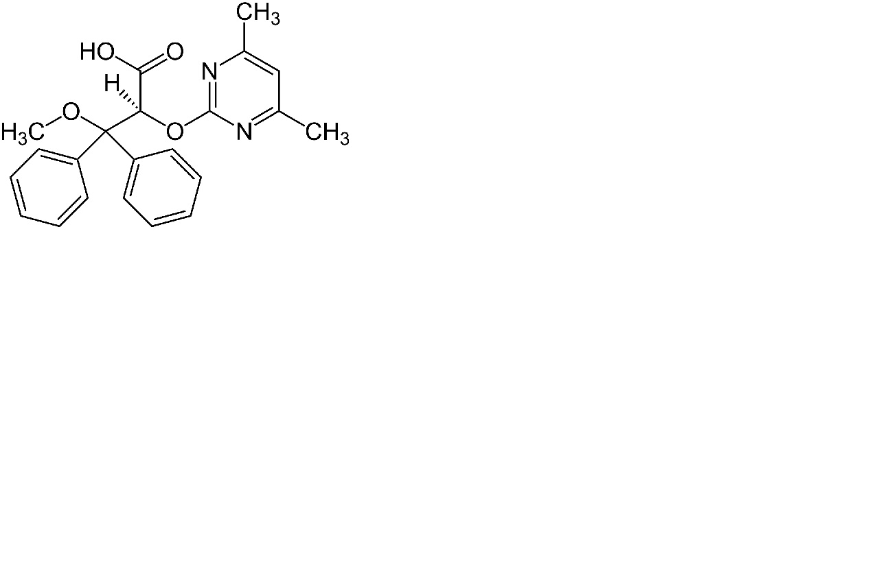
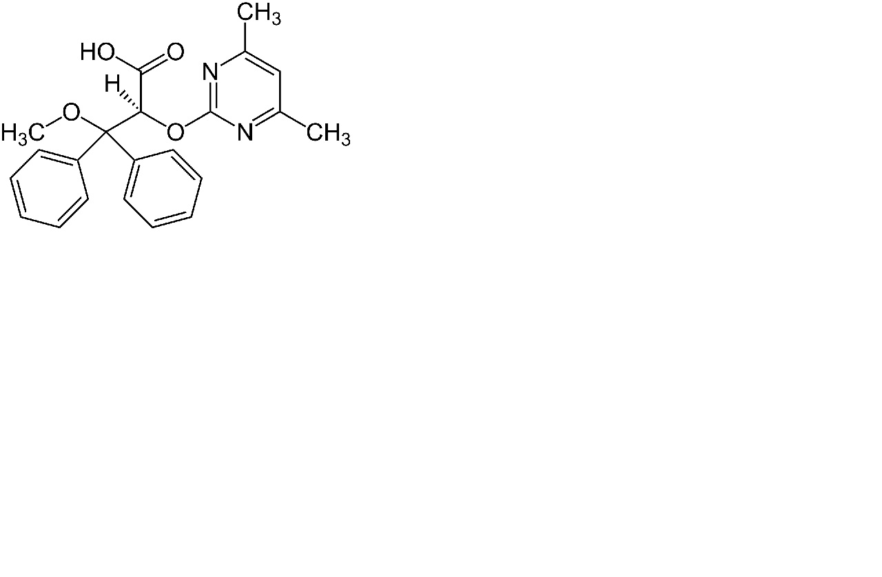
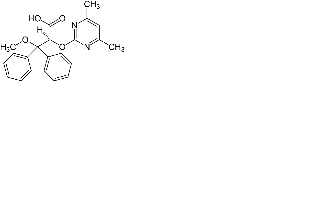
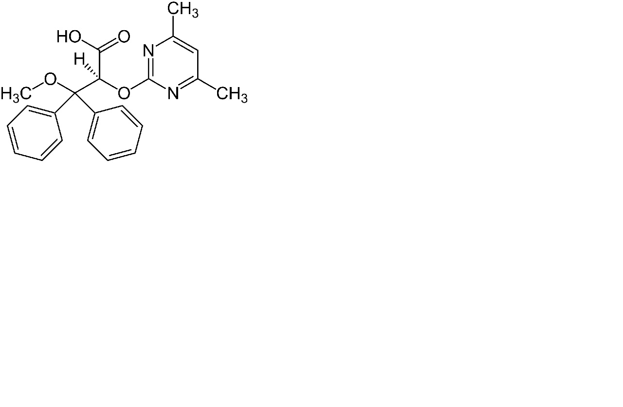
   Kemijska struktura  

oralna otopina

Stabilizacijski faktor   oralna otopina     Stabilizacijski faktor : Ambrisentan        
bez podataka

  Mentions Légales