Última actualização :
18/03/2026
Infostab
Lista de compostos
Listas de leitura dos resumos de informação
Pesquise compatibilidades
Tabela de compatibilidade do site Y
Bibliografía
As equipas de investigação
valistab
poster
Conexões
patrocinadores
Autores
Manual do utilizador
Boletim de notícias
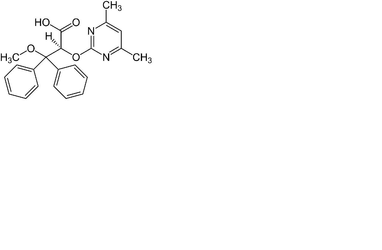
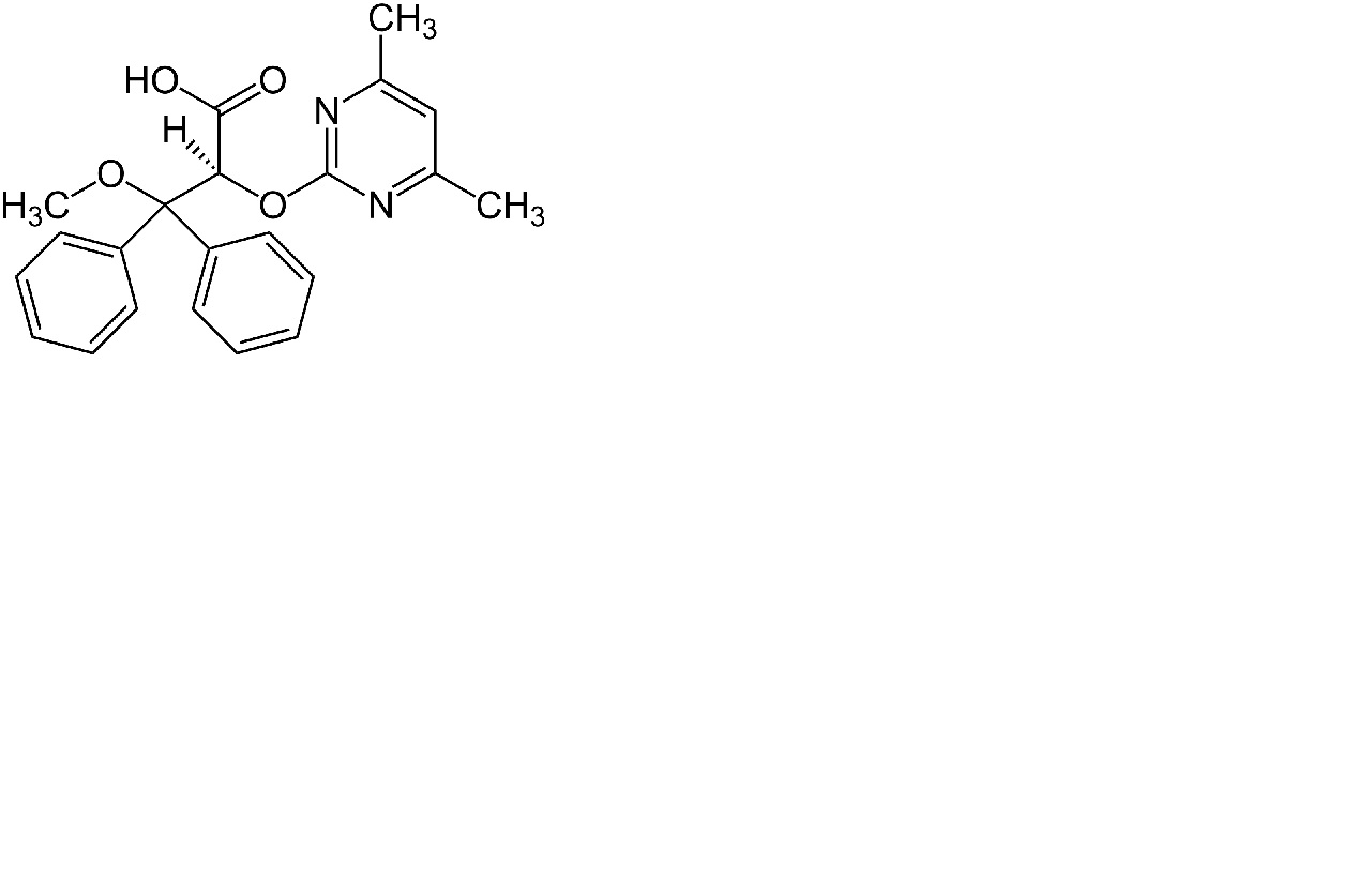
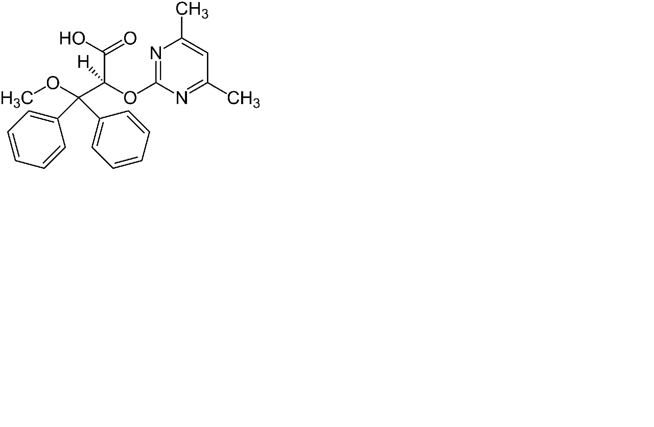
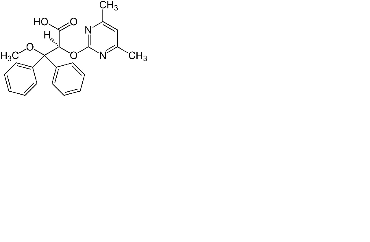
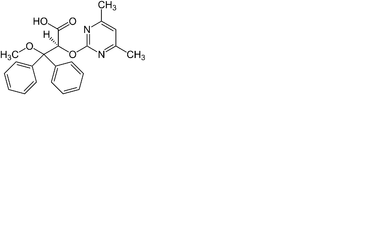
Ambrisentan
estrutura química
Bibliografía : Ambrisentan
tipo
publicação
4560
jornal
Cramer J, Bevry M, Handler S, Tillman K, Abourashed E.A.
Stability Determination of an Extemporaneously Compounded Ambrisentan Suspension by High Performance Liquid Chromatography Analysis.
J Pediatr Pharmacol Ther 2021 ; 26, 3: 265-270.
Mentions Légales