Poslední aktualizace :
18/03/2026
Kraujagysles plečiantis vaistas   Ambrisentan  
Geriamas tirpalas
Stabilumas farmacinių preparatų Mišinių stabilumas Stabilumą lemiantys veiksniai Suderinamumas Bibliografija pdf
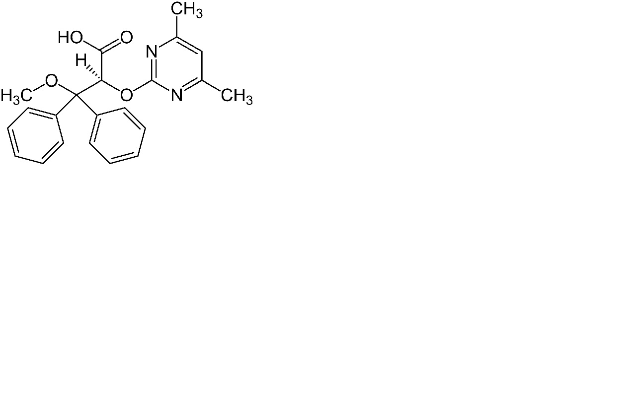
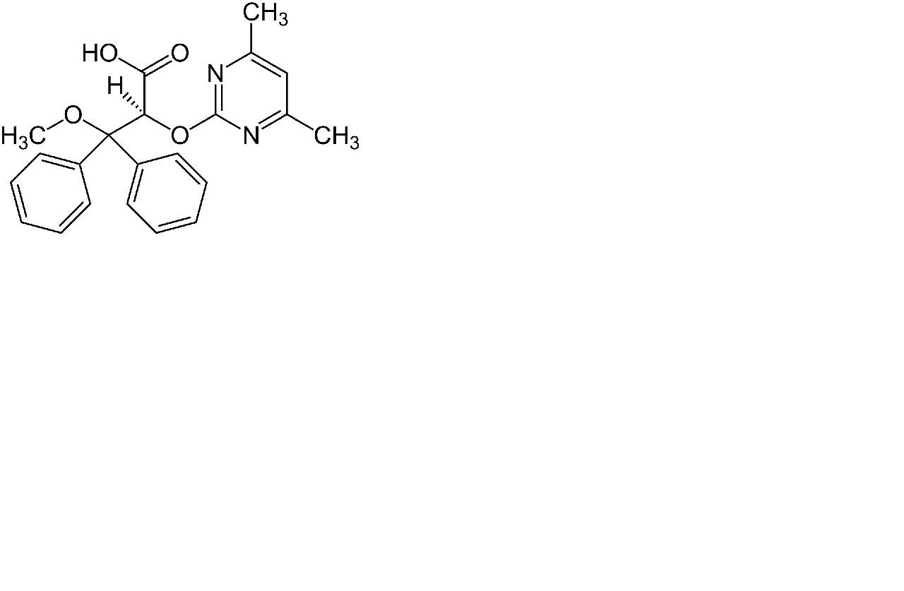
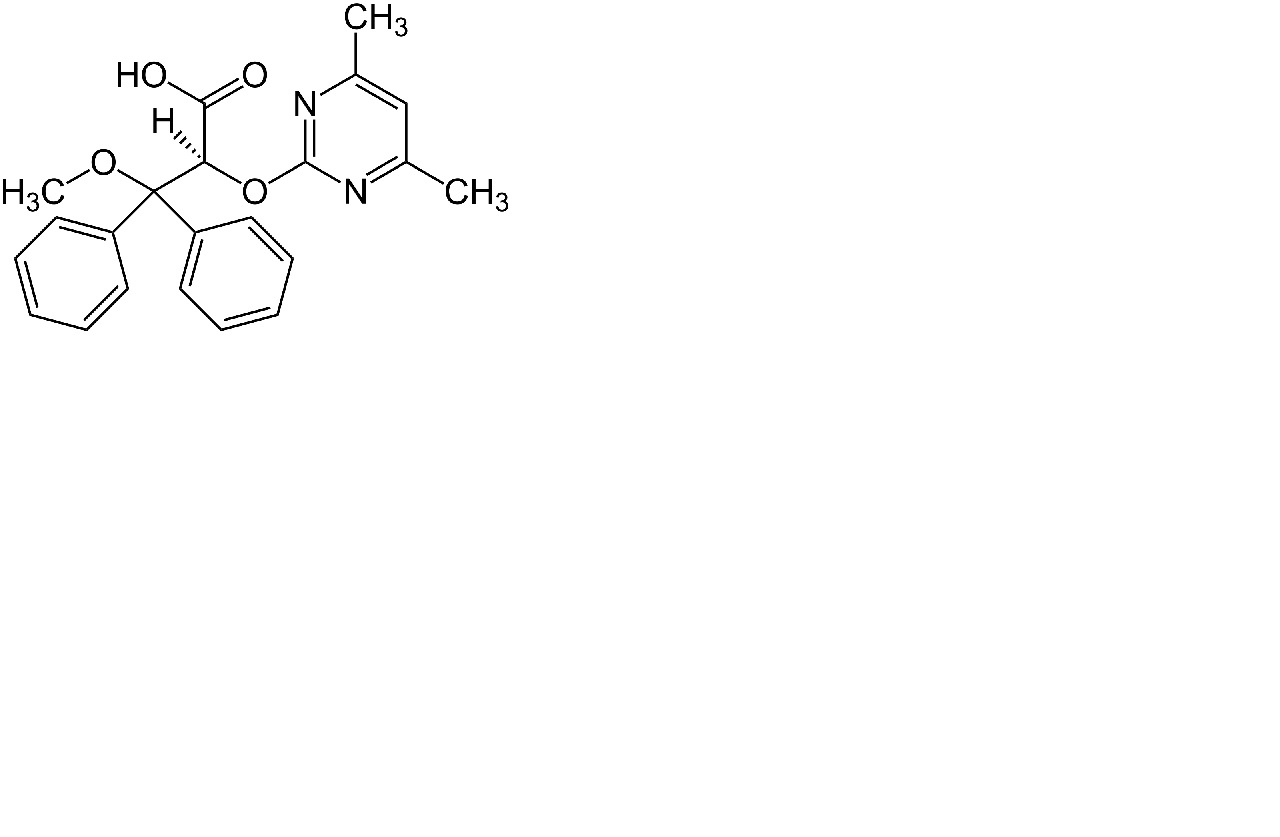
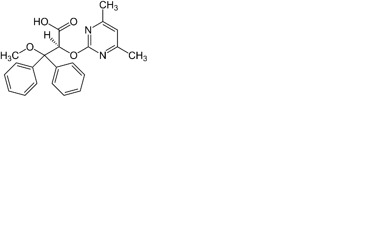
   Cheminė sandara  

Geriamas tirpalas
Bibliografija   Geriamas tirpalas   Bibliografija : Ambrisentan  
tipas leidinys
4560 Žurnalas Cramer J, Bevry M, Handler S, Tillman K, Abourashed E.A.
Stability Determination of an Extemporaneously Compounded Ambrisentan Suspension by High Performance Liquid Chromatography Analysis.
J Pediatr Pharmacol Ther 2021 ; 26, 3: 265-270.

  Mentions Légales