Utolsó frissítés :
18/03/2026
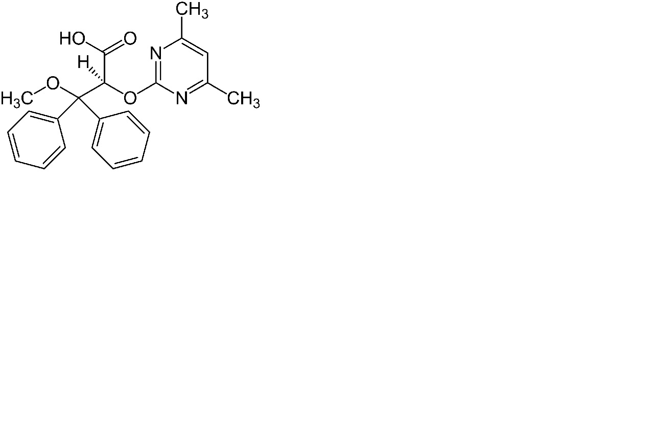
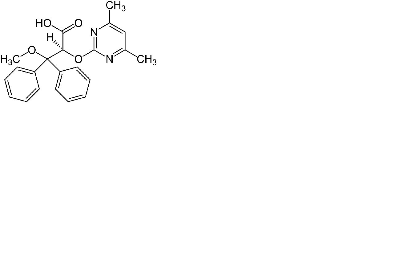
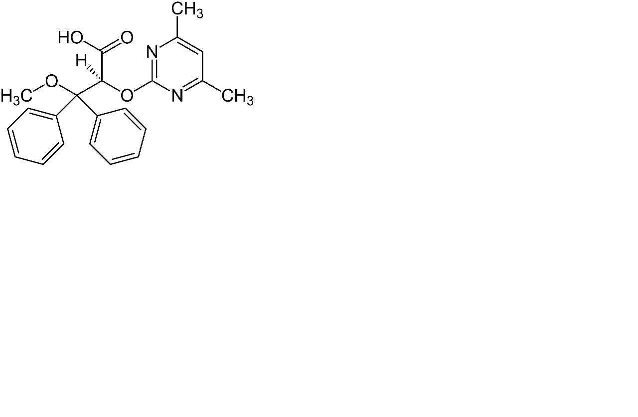
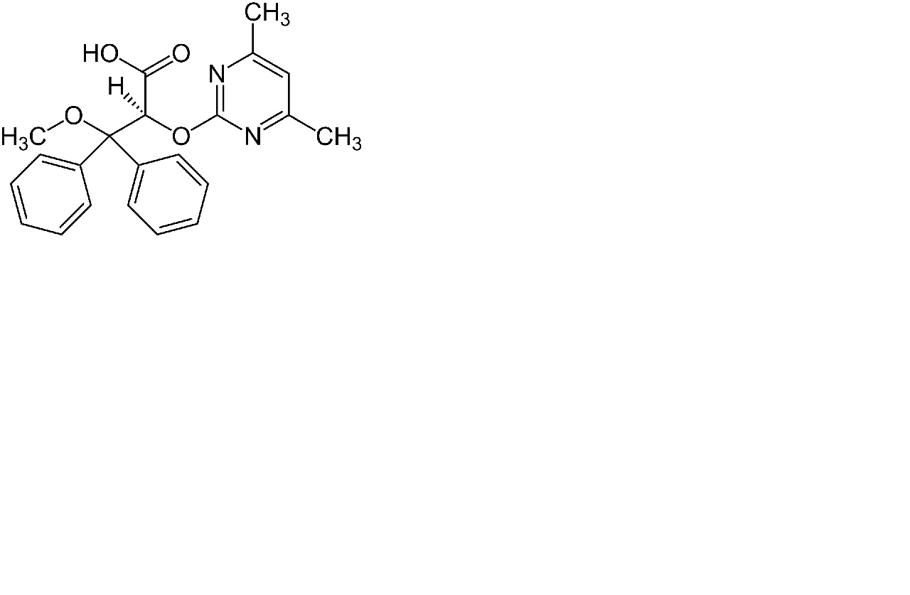
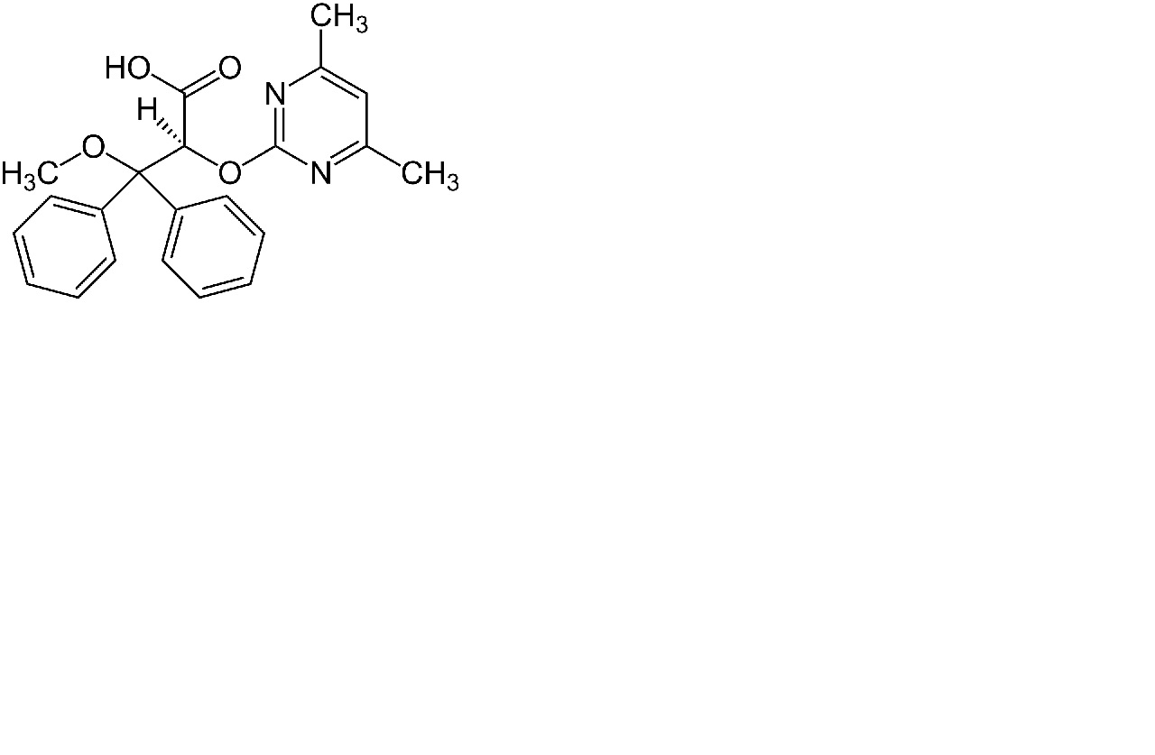
Értágító   Ambrisentan  
belsőleges oldat
Stabilitása gyógyszerészeti készítmények A keverékek stabilitása Stabilitást befolyásoló tényezők Kompatibilitás Irodalom pdf
   Kémiai szerkezet   

belsőleges oldat
Irodalom   belsőleges oldat   Irodalom : Ambrisentan  
Type publikáció
4560 Napló Cramer J, Bevry M, Handler S, Tillman K, Abourashed E.A.
Stability Determination of an Extemporaneously Compounded Ambrisentan Suspension by High Performance Liquid Chromatography Analysis.
J Pediatr Pharmacol Ther 2021 ; 26, 3: 265-270.

  Mentions Légales