Poslední aktualizace :
18/03/2026
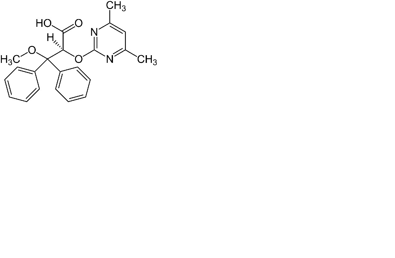
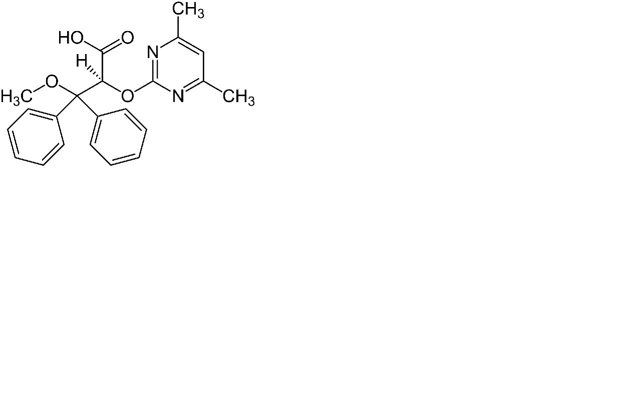
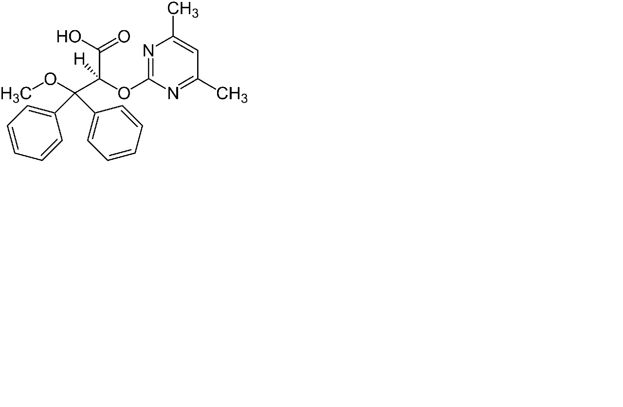
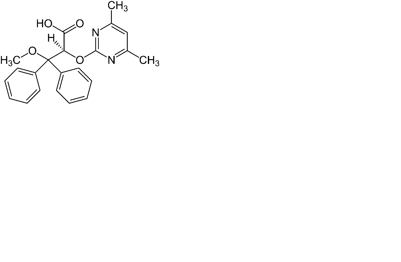
Vasodilatans   Ambrisentan  
Perorální roztok
Stabilita farmaceutických přípravků Stabilita směsí Faktory ovlivňující stabilitu Kompatibilita Odkazy pdf
   Chemický vzorec  

Perorální roztok
Odkazy   Perorální roztok   Odkazy : Ambrisentan  
typ uveřejnění
4560 noviny Cramer J, Bevry M, Handler S, Tillman K, Abourashed E.A.
Stability Determination of an Extemporaneously Compounded Ambrisentan Suspension by High Performance Liquid Chromatography Analysis.
J Pediatr Pharmacol Ther 2021 ; 26, 3: 265-270.

  Mentions Légales