Ostatnia aktualizacja :
18/03/2026
Lek cytostatyk   Pemetrexed diarginine  
Injekcje
Trwałość roztworów Trwałość w mieszaninie Czynnik wpływający na trwałość Zgodność Sposób podania Bibliografia pdf
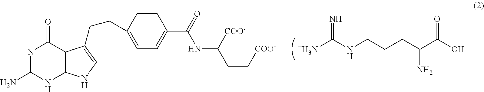
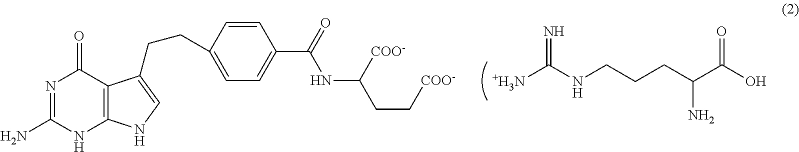
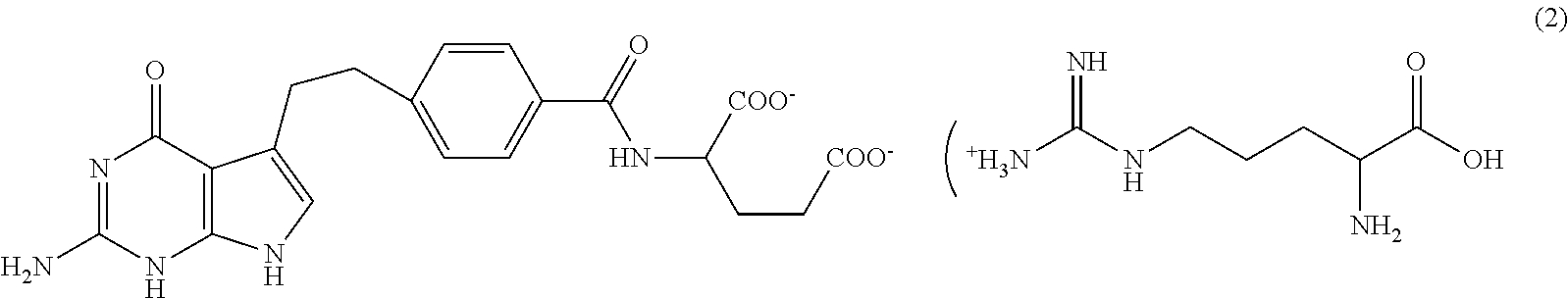
   Struktura chemiczna  

Nazwa handlowa   Nazwa handlowa     

Trade names are indicative and excipients composition can be different depending on the country and manufacturers

Pemetrexed Mylan Francja
Pemetrexed Ohre Pharma Francja
Pemetrexed Zentiva Francja
Sposób podania   Sposób podania :Pemetrexed diarginine     
Voie
Podanie dożylne

  Mentions Légales