Last update :
18/03/2026
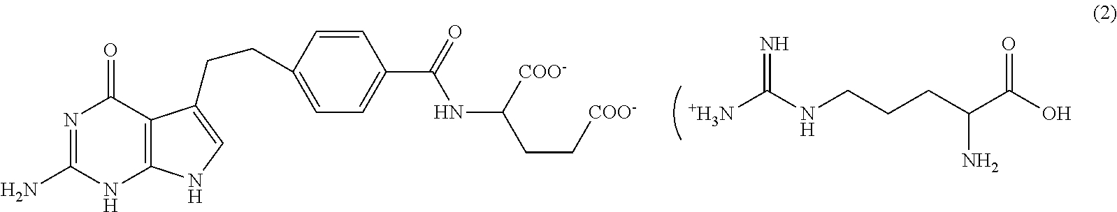
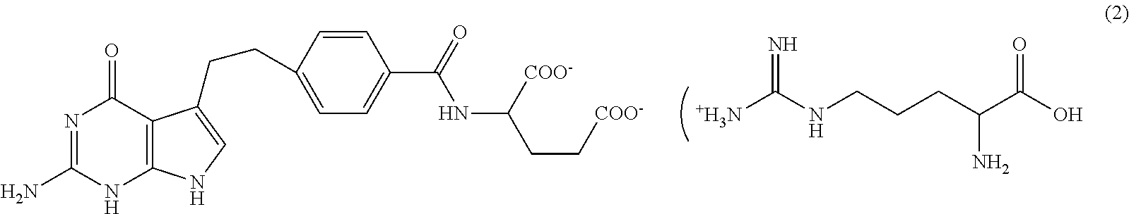
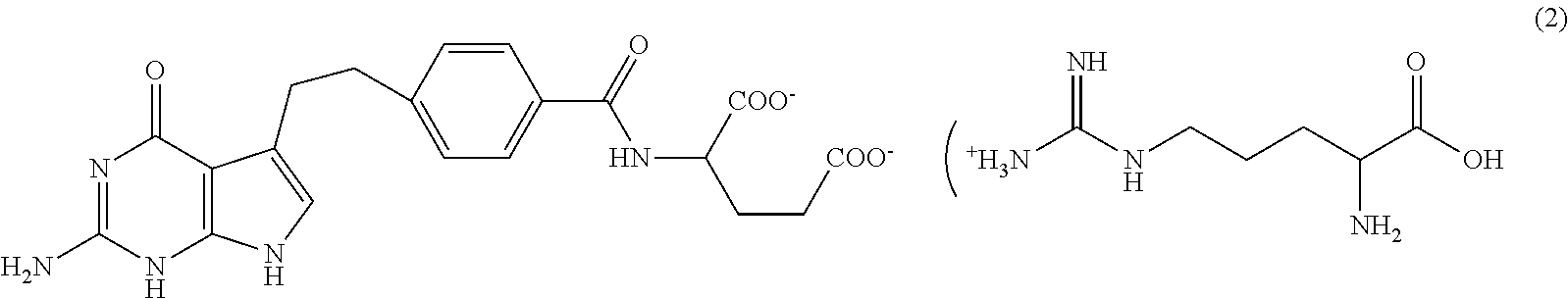
Anticancer drug   Pemetrexed diarginine  
injection
Stability in solutions Stability of mixtures Factors which affect stability Compatibility Route of administration References pdf
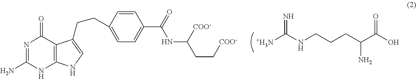
   Chemical structure  

Tradename   Tradename     

Trade names are indicative and excipients composition can be different depending on the country and manufacturers

Pemetrexed Mylan France
Pemetrexed Ohre Pharma France
Pemetrexed Zentiva France
Route of administration   Route of administration :Pemetrexed diarginine     
Route
Intravenous

  Mentions Légales