Τελευταία ενημέρωση :
18/03/2026
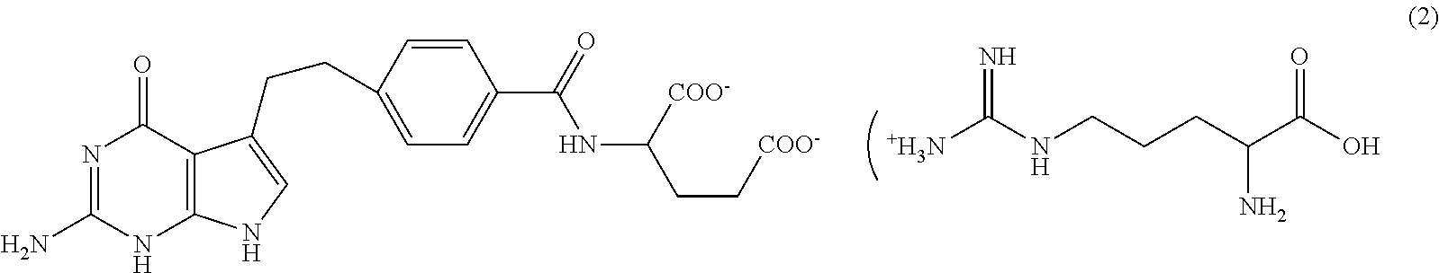
φάρμακο κατά του καρκίνου   Pemetrexed diarginine  
Ενέσιμο
Σταθερότητα διαλυμάτων Σταθερότητα σε μίγματα Παράγοντας που επηρεάζει τη σταθερότητα Συμβατότητες Τρόπος χορήγησης Βιβλιογραφία pdf
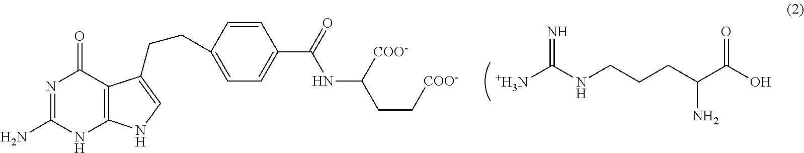
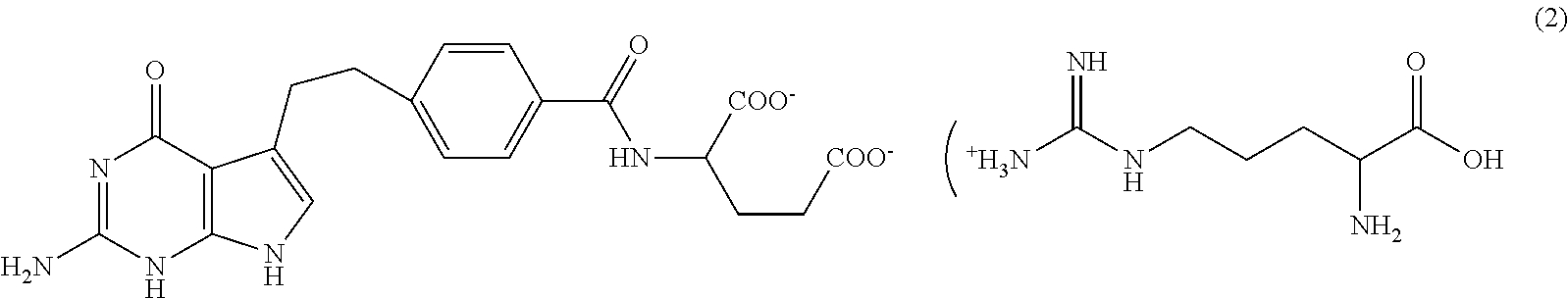
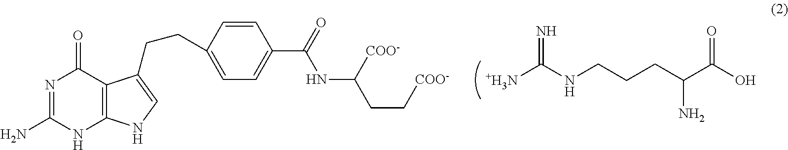
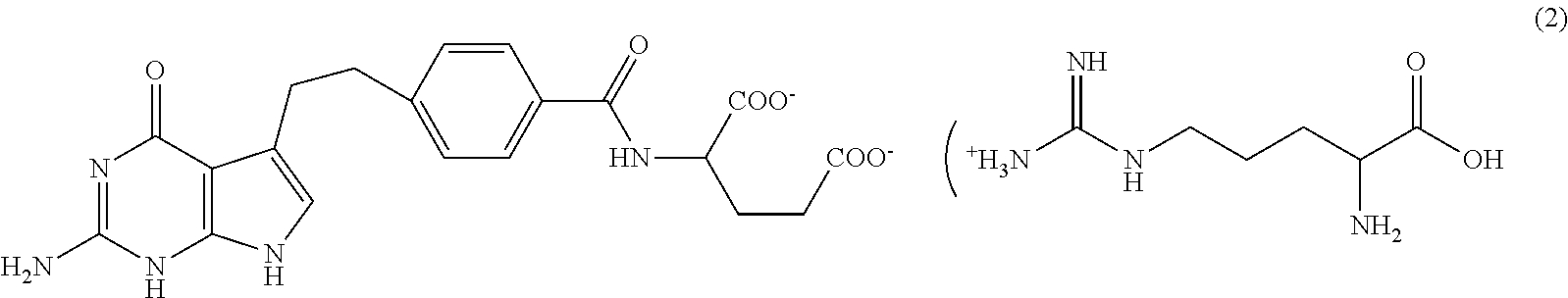
   χημική δομή  

Εμπορική ονομασία   Εμπορική ονομασία     

Οι εμπορικές ονομασίες είναι ενδεικτικές και η σύνθεση των εκδόχων μπορεί να διαφέρει ανάλογα με τη χώρα και τα εργαστήρια

Pemetrexed Mylan Γαλλία
Pemetrexed Ohre Pharma Γαλλία
Pemetrexed Zentiva Γαλλία
Τρόπος χορήγησης   Τρόπος χορήγησης :Pemetrexed diarginine     
Voie
Ενδοφλέβια

  Mentions Légales