Senaste uppdateringen :
18/03/2026
Antihypertensivum   Nitrendipine  
Oral lösning
Stabilitet av läkemedel Stabilitet i blandningar Faktorer som påverkar stabiliteten Kompatibilitet Hänvisningar pdf
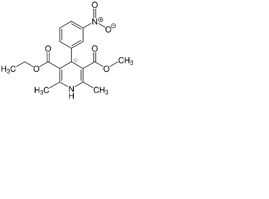
   Molekylstruktur  

Oral lösning
Stabilitet i blandningar   Oral lösning   Stabilitet i blandningar : Nitrendipine     
Ingen uppgift

  Mentions Légales