Utolsó frissítés :
18/03/2026
Vérnyomáscsökkentő   Nitrendipine  
belsőleges oldat
Stabilitása gyógyszerészeti készítmények A keverékek stabilitása Stabilitást befolyásoló tényezők Kompatibilitás Irodalom pdf
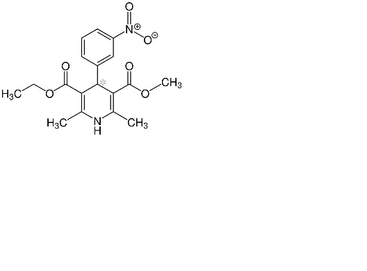
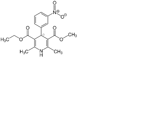
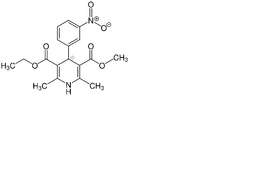
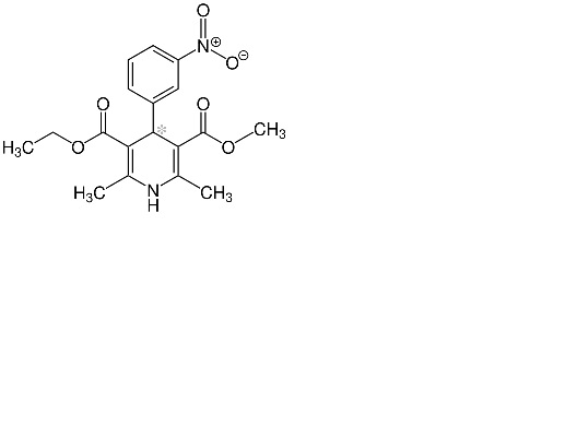
   Kémiai szerkezet   

belsőleges oldat
A keverékek stabilitása   belsőleges oldat   A keverékek stabilitása : Nitrendipine     
Hiányzó adat

  Mentions Légales