Ultimo aggiornamento :
18/03/2026
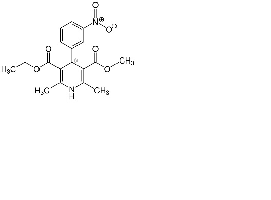
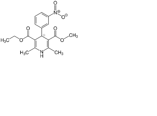
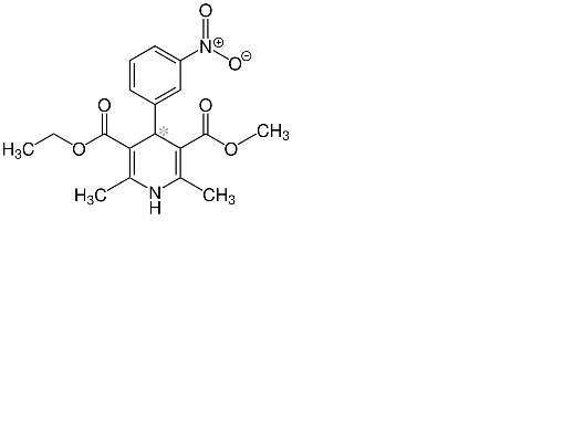
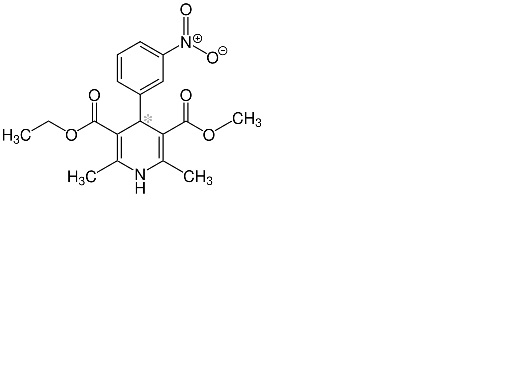
Antipertensivo   Nitrendipine  
Soluzione orale
Stabilità dei preparati farmaceutici Stabilità in miscela Fattori che influenzano la stabilità Compatibilità Bibliografia pdf
   Struttura chimica  

Soluzione orale
Stabilità in miscela   Soluzione orale   Stabilità in miscela : Nitrendipine     
Assenza di dati

  Mentions Légales