Ostatnia aktualizacja :
18/03/2026
Lek przeciwnadciśnieniowy   Nitrendipine  
Roztwór doustny
Stabilność preparatów farmaceutycznych Trwałość w mieszaninie Czynnik wpływający na trwałość Zgodność Bibliografia pdf
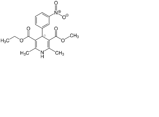
   Struktura chemiczna  

Roztwór doustny
Trwałość w mieszaninie   Roztwór doustny   Trwałość w mieszaninie : Nitrendipine     
Brak danych

  Mentions Légales