Pēdējā atjaunošana :
18/03/2026
Antihipertensīvs   Nitrendipine  
Orāls šķīdums
Stabilitāte farmaceitisko preparātu Maisījuma stabilitāte Stabilitāti ietekmējoši faktori Saderība Literatūras saraksts pdf
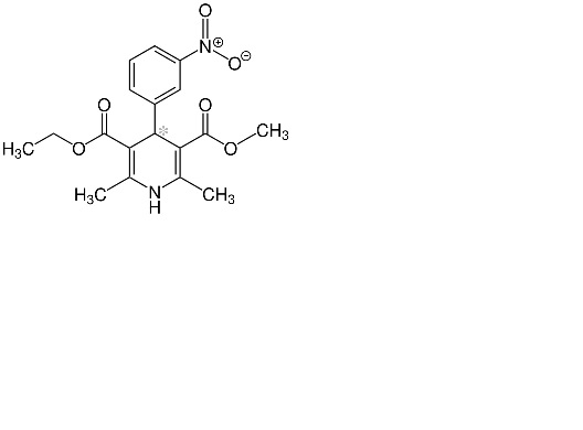
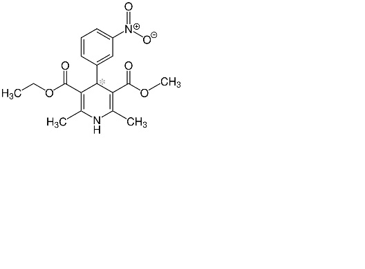
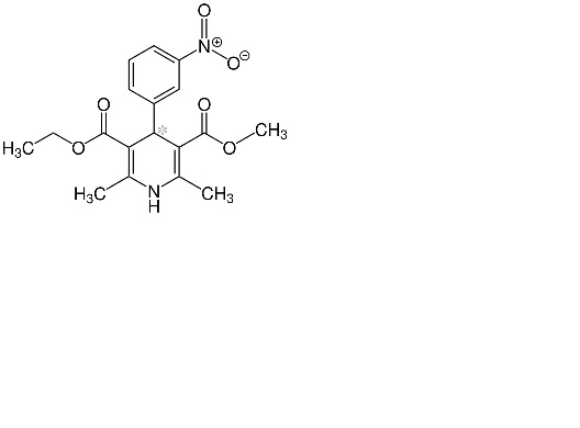
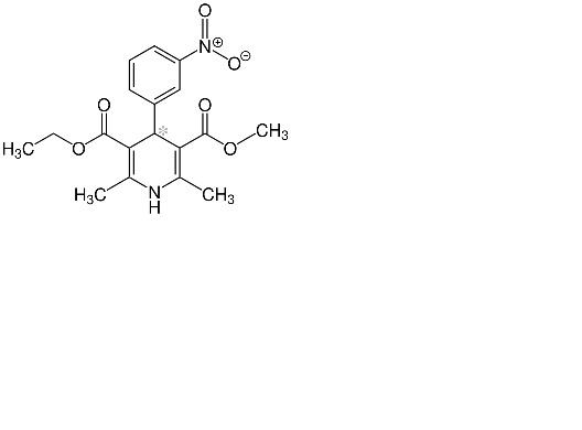
   Ķīmiskā uzbūve   

Orāls šķīdums

Stabilitāti ietekmējoši faktori   Orāls šķīdums   Stabilitāti ietekmējoši faktori : Nitrendipine        
Nav datu

  Mentions Légales