Letztes “update” :
18/03/2026
Antihypertonikum   Nitrendipine  
Lösung zum Einnehmen
Stabilität von pharmazeutischen Präparaten Gemengestabilität Stabilitätbeeinflussende Faktoren Kompatibilitäten Literaturverzeichnis pdf
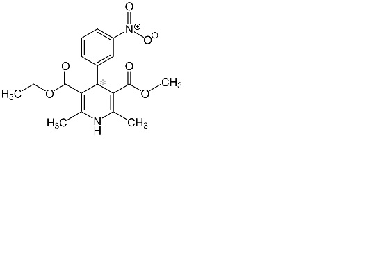
   Chemische Struktur  

Lösung zum Einnehmen

Stabilitätbeeinflussende Faktoren   Lösung zum Einnehmen   Stabilitätbeeinflussende Faktoren : Nitrendipine        
Keine Daten

  Mentions Légales