Последно актуализиране :
18/03/2026
Антихипертензивно средство   Nitrendipine  
Орален разтвор
Стабилност на лекарствени препарати Стабилност на смеси Фактори, повлияващи стабилността Съвместимост Библиография Pdf
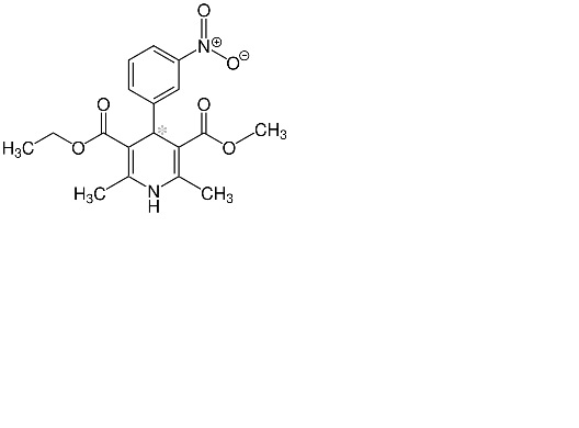
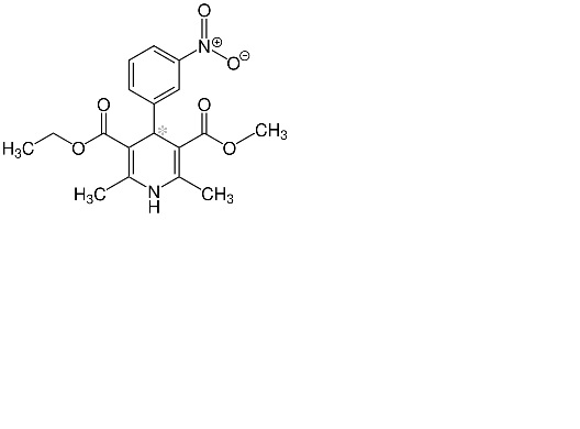
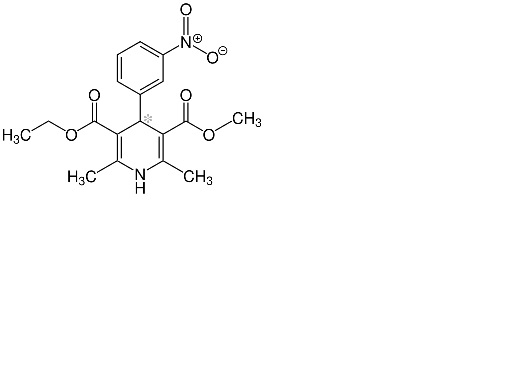
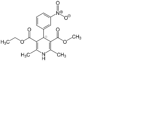
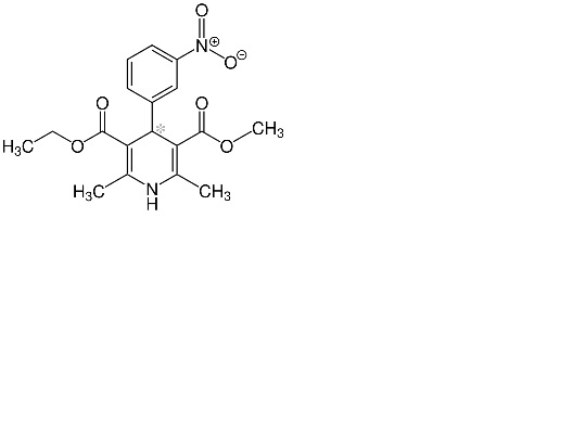
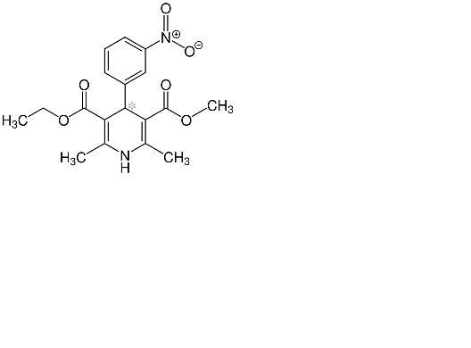
   Химична структура  

Орален разтвор

Фактори, повлияващи стабилността   Орален разтвор   Фактори, повлияващи стабилността : Nitrendipine        
Няма данни

  Mentions Légales