آخر تحديث :
18/03/2026
أدويه مخفضه للضغط   Nitrendipine  
عن طريق الفم
استقرار المستحضرات الصيدلانية استقرار مخاليط العوامل التي تؤثر على الاستقرار التوافق مراجع pdf
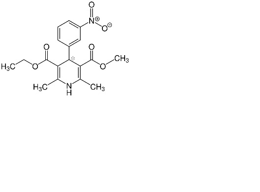
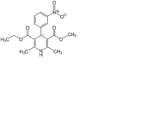
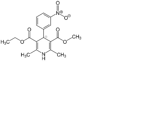
   التركيب الكيميائي  

عن طريق الفم

العوامل التي تؤثر على الاستقرار   عن طريق الفم     العوامل التي تؤثر على الاستقرار : Nitrendipine        
لا توجد بيانات

  Mentions Légales