Posledná aktualizácia :
17/12/2025
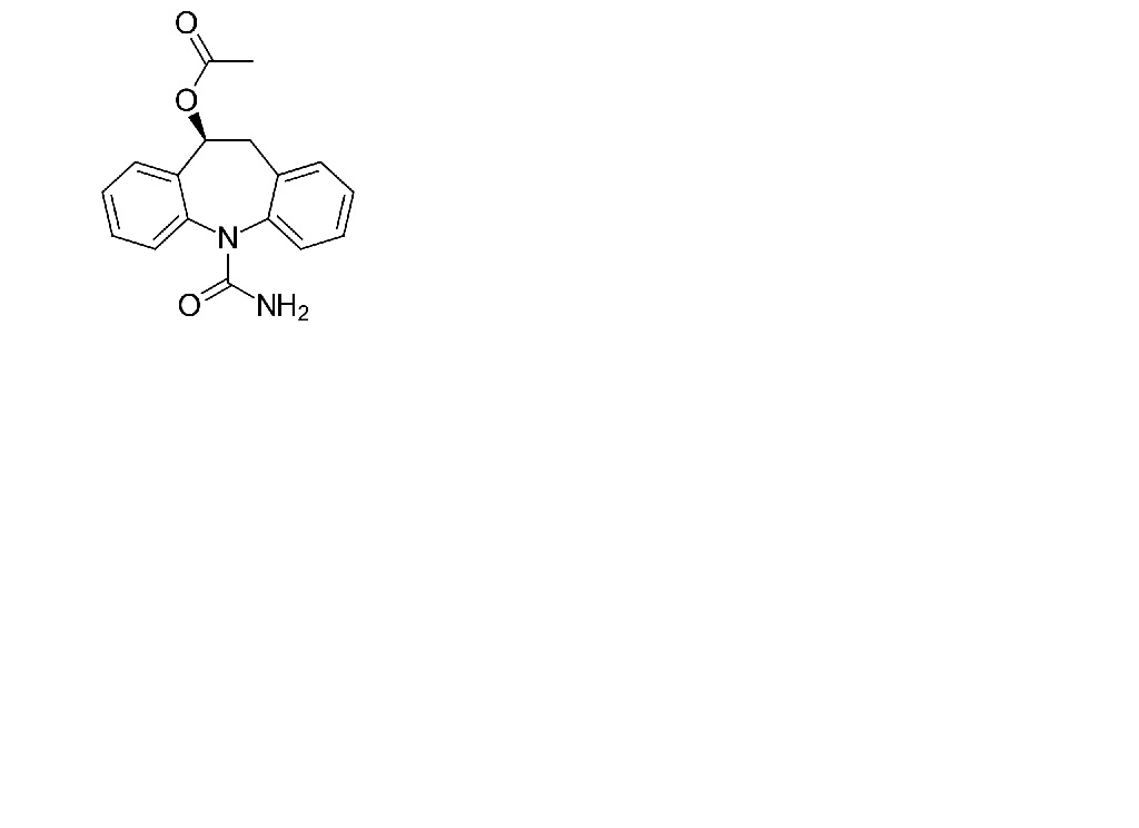
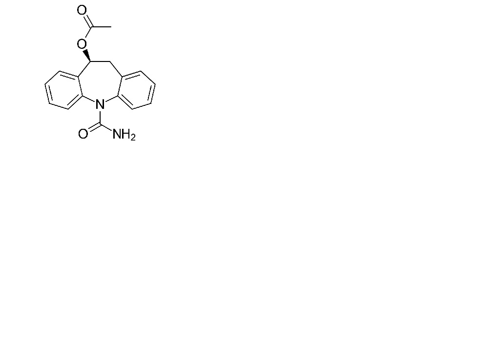
antiepileptikum   Eslicarbazepine acetate  
Perorálny roztok
Stabilita farmaceutických prípravkov Stabilita v zmesiach Faktory ovplyvňujúce stabilitu Kompatibility Odkazy na literatúru PDF
   Chemický vzorec  

Perorálny roztok
Odkazy na literatúru   Perorálny roztok   Odkazy na literatúru : Eslicarbazepine acetate  
Typ Publikácia
4048 Časopis Reindel K, Zhao F, Hughes S, Dave V.
In vitro evaluation of eslicarbazepine delivery via enteral feeding tubes.
Hosp Pharm 2017 ;52,11:752-760
4170 Časopis Zhao F, Dave V.S, Mar M, Perri J.
Formulation and Stability Study of Eslicarbazepine Acetate Oral Suspensions for Extemporaneous Compounding.
Int J Pharm Compound 2018 22,5:433-439

  Mentions Légales