Τελευταία ενημέρωση :
17/12/2025
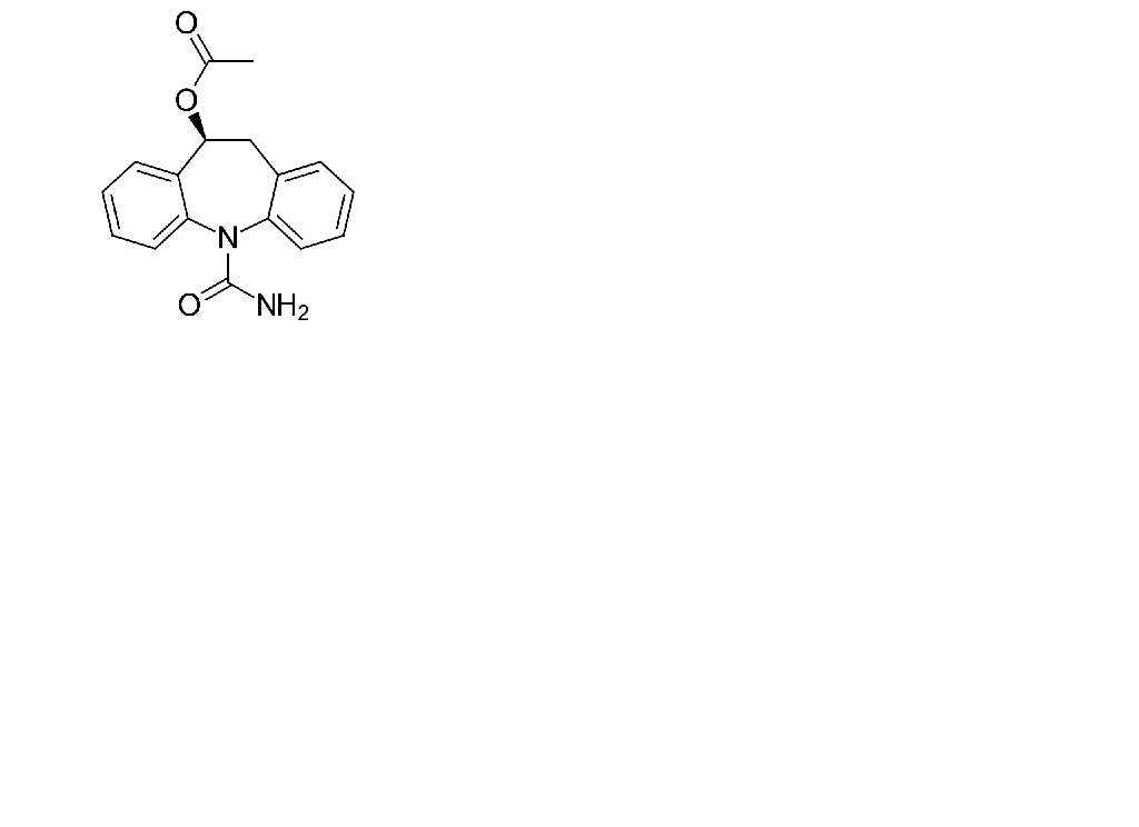
Αντιεπιληπτικό   Eslicarbazepine acetate  
Πόσιμο διάλυμα
Σταθερότητα και συμβατότητα των φαρμάκων Σταθερότητα σε μίγματα Παράγοντας που επηρεάζει τη σταθερότητα Συμβατότητες Βιβλιογραφία pdf
   χημική δομή  

Πόσιμο διάλυμα
Βιβλιογραφία   Πόσιμο διάλυμα   Βιβλιογραφία : Eslicarbazepine acetate  
τύπος δημοσίευση
4048 εφημερίδα Reindel K, Zhao F, Hughes S, Dave V.
In vitro evaluation of eslicarbazepine delivery via enteral feeding tubes.
Hosp Pharm 2017 ;52,11:752-760
4170 εφημερίδα Zhao F, Dave V.S, Mar M, Perri J.
Formulation and Stability Study of Eslicarbazepine Acetate Oral Suspensions for Extemporaneous Compounding.
Int J Pharm Compound 2018 22,5:433-439

  Mentions Légales