Pēdējā atjaunošana :
17/12/2025
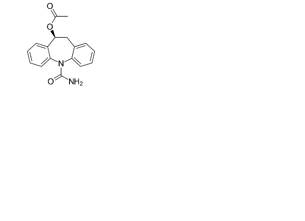
Antiepileptiķis   Eslicarbazepine acetate  
Orāls šķīdums
Stabilitāte farmaceitisko preparātu Maisījuma stabilitāte Stabilitāti ietekmējoši faktori Saderība Literatūras saraksts pdf
   Ķīmiskā uzbūve   

Orāls šķīdums
Literatūras saraksts   Orāls šķīdums   Literatūras saraksts : Eslicarbazepine acetate  
tips publicēšana
4048 Žurnāls Reindel K, Zhao F, Hughes S, Dave V.
In vitro evaluation of eslicarbazepine delivery via enteral feeding tubes.
Hosp Pharm 2017 ;52,11:752-760
4170 Žurnāls Zhao F, Dave V.S, Mar M, Perri J.
Formulation and Stability Study of Eslicarbazepine Acetate Oral Suspensions for Extemporaneous Compounding.
Int J Pharm Compound 2018 22,5:433-439

  Mentions Légales