Utolsó frissítés :
17/12/2025
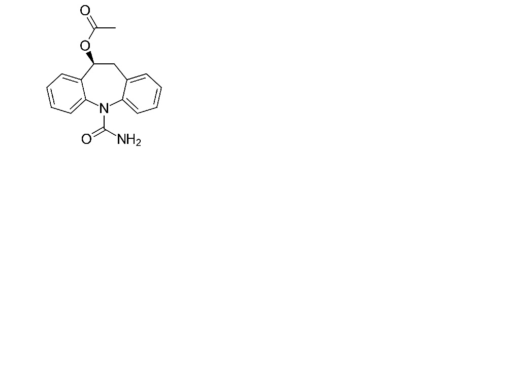
Antiepileptikum   Eslicarbazepine acetate  
belsőleges oldat
Stabilitása gyógyszerészeti készítmények A keverékek stabilitása Stabilitást befolyásoló tényezők Kompatibilitás Irodalom pdf
   Kémiai szerkezet   

belsőleges oldat
Irodalom   belsőleges oldat   Irodalom : Eslicarbazepine acetate  
Type publikáció
4048 Napló Reindel K, Zhao F, Hughes S, Dave V.
In vitro evaluation of eslicarbazepine delivery via enteral feeding tubes.
Hosp Pharm 2017 ;52,11:752-760
4170 Napló Zhao F, Dave V.S, Mar M, Perri J.
Formulation and Stability Study of Eslicarbazepine Acetate Oral Suspensions for Extemporaneous Compounding.
Int J Pharm Compound 2018 22,5:433-439

  Mentions Légales