Siste oppdatering :
05/12/2025
Antibiotika   Colistin sulfate  
Mikstur
Stabilitet av farmasøytiske preparater Stabilitet i blandinger Faktorer som påvirker stabiliteten Kompatibilitet Referanser pdf
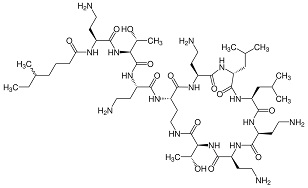
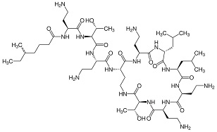
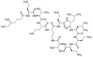
   Kjemisk struktur  

Mikstur
Stabilitet av farmasøytiske preparater   Mikstur   Stabilitet av farmasøytiske preparater : Colistin sulfate     
Ingen opplysninger

  Mentions Légales