Zadnji put ažurirano :
18/03/2026
antibiotik   Colistin sulfate  
oralna otopina
Stabilnost farmaceutskih pripravaka Stabilnost mješavine Stabilizacijski faktor Kompatibilnosti Bibliografija pdf
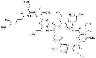
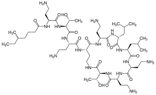
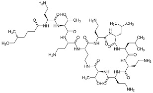
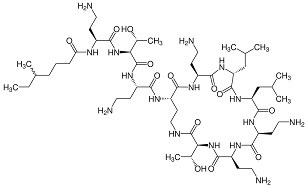
   Kemijska struktura  

oralna otopina
Stabilnost farmaceutskih pripravaka   oralna otopina     Stabilnost farmaceutskih pripravaka : Colistin sulfate     
bez podataka

  Mentions Légales