آخر تحديث :
18/03/2026
مضاد حيوي   Colistin sulfate  
عن طريق الفم
استقرار المستحضرات الصيدلانية استقرار مخاليط العوامل التي تؤثر على الاستقرار التوافق مراجع pdf
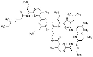
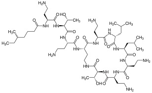
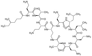
   التركيب الكيميائي  

عن طريق الفم
استقرار المستحضرات الصيدلانية   عن طريق الفم     استقرار المستحضرات الصيدلانية : Colistin sulfate     
لا توجد بيانات

  Mentions Légales