Senaste uppdateringen :
23/03/2026
Antiepileptikum   Topiramate  
Oral lösning
Stabilitet av läkemedel Stabilitet i blandningar Faktorer som påverkar stabiliteten Kompatibilitet Hänvisningar pdf
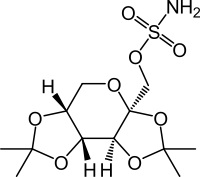
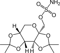
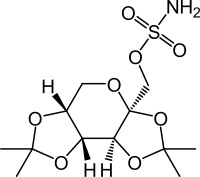
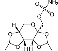
   Molekylstruktur  

Oral lösning
Stabilitet i blandningar   Oral lösning   Stabilitet i blandningar : Topiramate     
Ingen uppgift

  Mentions Légales