Τελευταία ενημέρωση :
18/03/2026
Αντιεπιληπτικό   Topiramate  
Πόσιμο διάλυμα
Σταθερότητα και συμβατότητα των φαρμάκων Σταθερότητα σε μίγματα Παράγοντας που επηρεάζει τη σταθερότητα Συμβατότητες Βιβλιογραφία pdf
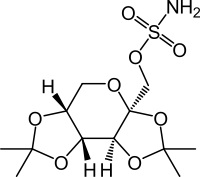
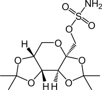
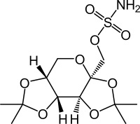
   χημική δομή  

Πόσιμο διάλυμα
Σταθερότητα σε μίγματα   Πόσιμο διάλυμα   Σταθερότητα σε μίγματα : Topiramate     
Δεν υπάρχουν πληροφορίες

  Mentions Légales