Poslední aktualizace :
18/03/2026
Antiepileptikum   Topiramate  
Perorální roztok
Stabilita farmaceutických přípravků Stabilita směsí Faktory ovlivňující stabilitu Kompatibilita Odkazy pdf
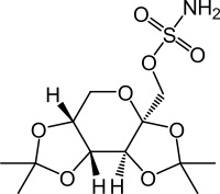
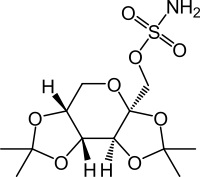
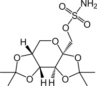
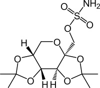
   Chemický vzorec  

Perorální roztok
Stabilita směsí   Perorální roztok   Stabilita směsí : Topiramate     
žádná data

  Mentions Légales