viimane versioon :
18/03/2026
antiepileptikum   Topiramate  
suukaudne lahus
Stabiilsust ravimpreparaadid Stabiilsust mõjutavad tegurid stabiilsust mõjutavad faktorid Sobimatus Viited pdf
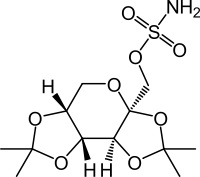
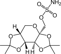
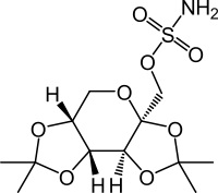
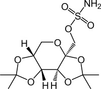
   keemiline struktuur  

suukaudne lahus
Stabiilsust mõjutavad tegurid   suukaudne lahus   Stabiilsust mõjutavad tegurid : Topiramate     
andmed puuduvad

  Mentions Légales