Zadnji put ažurirano :
18/03/2026
Infostab
Liste
Liste sazetaka
Potražite kompatibilnosti
Tablica kompatibilnosti Y-mjesta
Bibliografija
istraživačkih timova
valistab
Plakat
Linkovi
sponzori
Autor
Priručnik za korisnike
Bilten
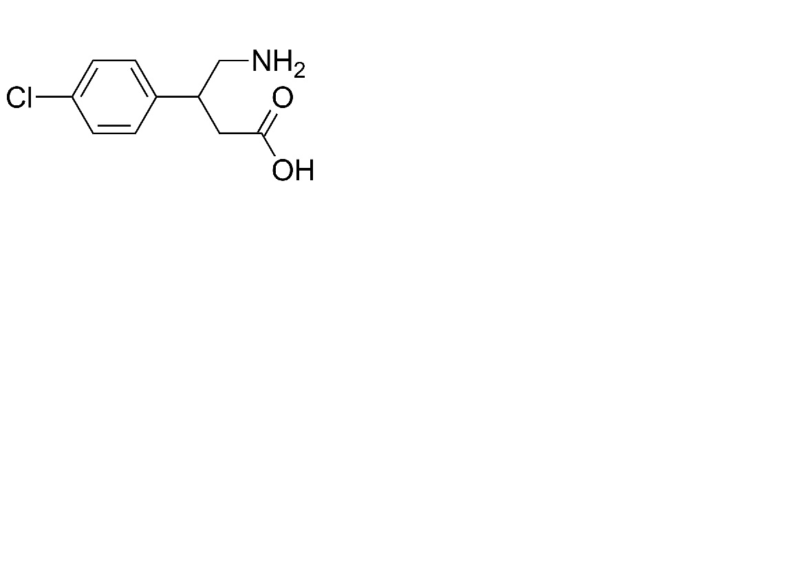
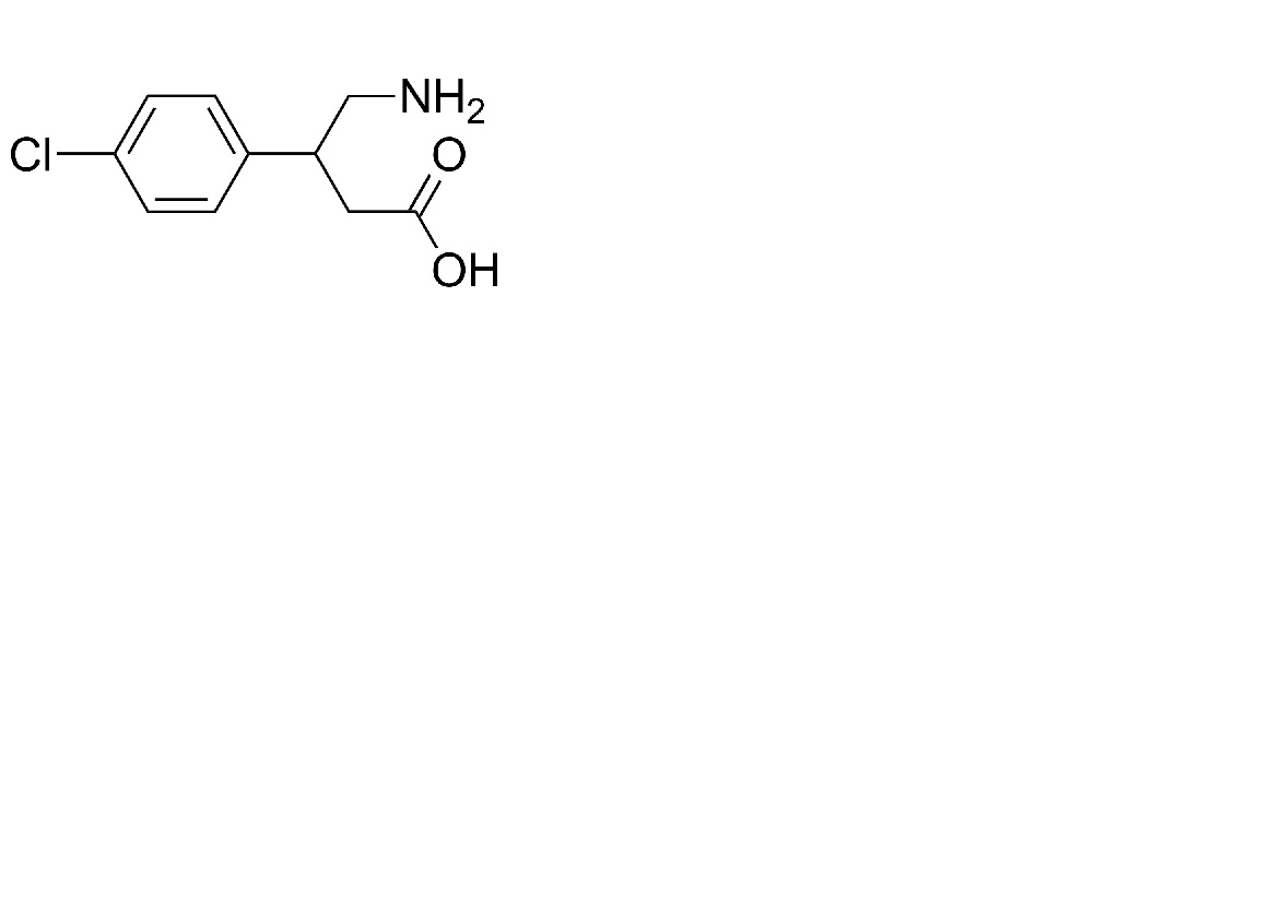
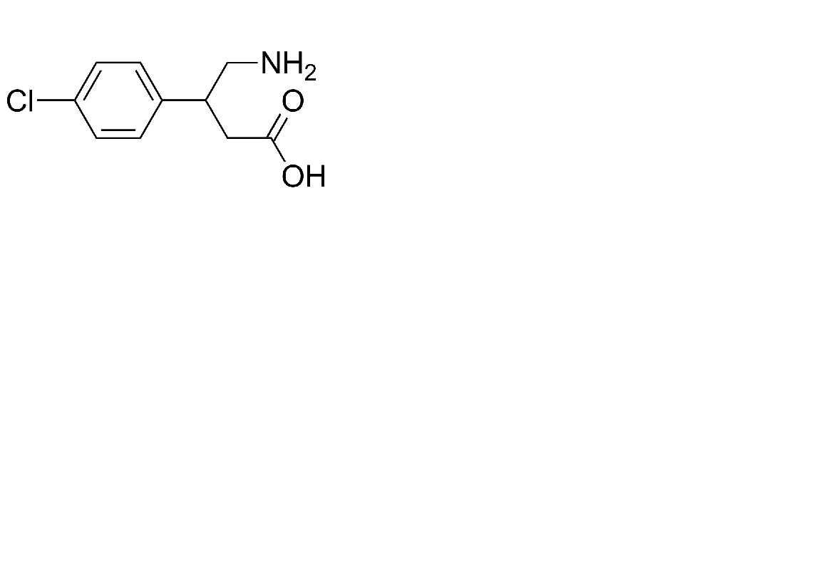
Baclofen
Kemijska struktura
Bibliografija : Baclofen
Vrsta
Publikacija
3971
Časopis
Gorman G, Sokom S, Coward L, Arnold J J.
Development and Application of a High-Performance Liquid Chromatography Stability-Indicating Assay for Beyond-Use Date Determination of Compounded Topical Gels Containing Multiple Active Drugs.
Int J Pharm Compound 2017 ; 21, 2 : 164-170.
Mentions Légales