Poslední aktualizace :
18/03/2026
Infostab
Seznamy
Seznamy shrnutí
Hledat kompatibility
Tabulka kompatibility správy Y
Odkazy
výzkumné týmy
valistab
plakát
Připojení
sponzoři
Autor
Uživatelská příručka
Newsletter
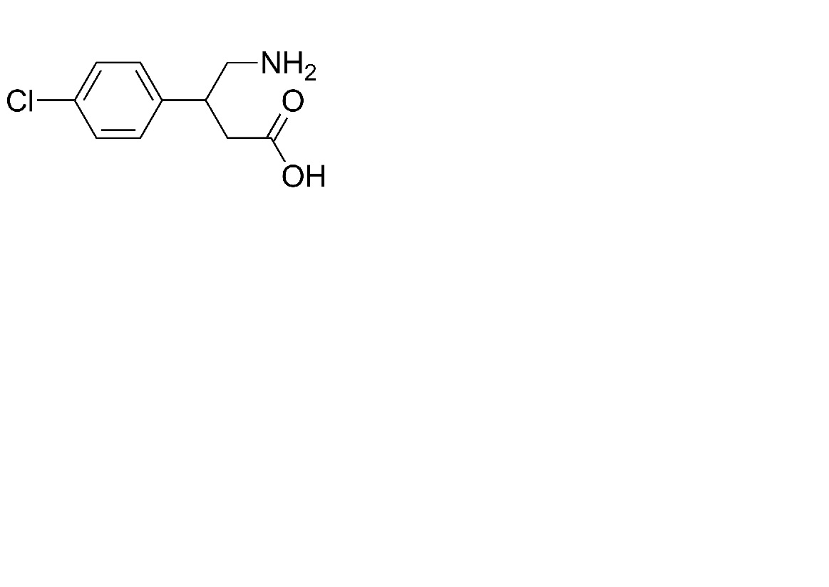
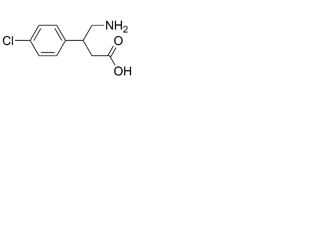
Baclofen
Chemický vzorec
Odkazy : Baclofen
typ
uveřejnění
3971
noviny
Gorman G, Sokom S, Coward L, Arnold J J.
Development and Application of a High-Performance Liquid Chromatography Stability-Indicating Assay for Beyond-Use Date Determination of Compounded Topical Gels Containing Multiple Active Drugs.
Int J Pharm Compound 2017 ; 21, 2 : 164-170.
Mentions Légales