Siste oppdatering :
27/11/2025
Antiinflammatorisk   Ketoprofene  
Salver
Injeksjon Mikstur Stikkpille
Stabilitet av farmasøytiske preparater Stabilitet i blandinger Faktorer som påvirker stabiliteten Kompatibilitet Referanser pdf
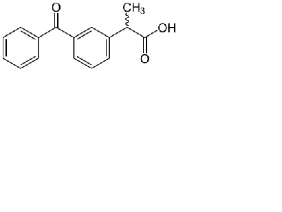
   Kjemisk struktur  

Salver
Stabilitet av farmasøytiske preparater   Salver   Stabilitet av farmasøytiske preparater : Ketoprofene     
Ingen opplysninger

  Mentions Légales