最新更新 :
27/11/2025
抗炎药   Ketoprofene  
药膏
口服剂 注射液 肛门塞剂
制剂的稳定性 混合物稳定性 影响稳定性的因素 兼容性 引用文献 PDF
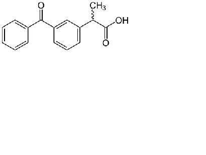
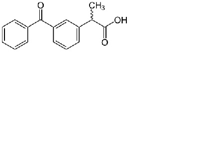
   化学式  

药膏
制剂的稳定性   药膏   制剂的稳定性 : Ketoprofene     
无数据

  Mentions Légales