Τελευταία ενημέρωση :
18/03/2026
Infostab
Καταστάσεις
Περίληψη καταλόγων
Αναζήτηση συμβατοτήτων
Πίνακας Συμβατότητας Υ κέντρου
Βιβλιογραφία
Ερευνητικές ομάδες
valistab
αφίσα
συνδέσεις
χορηγούς
Συγγραφείς
Οδηγίες χρήσης
Ενημερωτικό δελτίο
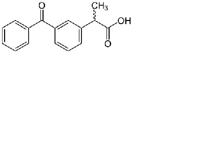
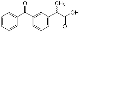
Ketoprofene
χημική δομή
Σταθερότητα και συμβατότητα των φαρμάκων : Ketoprofene
Δεν υπάρχουν πληροφορίες
Mentions Légales