Cập nhật lần cuối :
23/03/2026
Khác   Indocyanine green  
Dạng tiêm
Tính ổn định của các dung dịch Độ ổn định khi trộn lẫn Những yếu tố ảnh hưởng đến độ ổn định Khả năng tương thích Đường dùng Tài liệu tham khảo Pdf
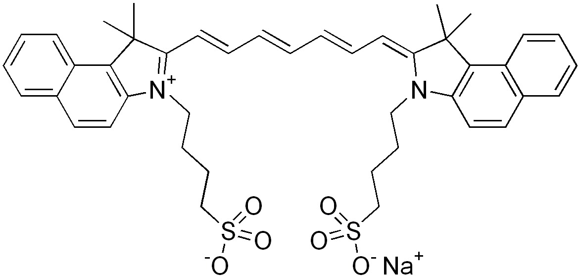
   Cấu trúc hóa học  

Tên thương mại   Tên thương mại     

Các tên thương mại được cung cấp và thành phần tá dược có thể khác nhau giữa các quốc gia và các hãng dược

Infracyanine Pháp
Verdye Bỉ, Hungary, Ireland, Romania, Tây Ban Nha, Thụy Điển, Ý, Đức
Tài liệu tham khảo   Dạng tiêm   Tài liệu tham khảo : Indocyanine green  
Loại Nguồn
3930 Thông tin của nhà sản xuất Indocyanine (Infracyanine®) - Résumé des caractéristiques du produit
Serb laboratoire 2013
4246 Poster Perks W, Law S, Marchesano R, Walker SE.
Stability of 2.5mg/mL Indocyanine Green (ICG) Solutions Stored in Syringes at 25ºC, 4ºC, -20ºC and -67ºC.
2019
4289 Tạp chí Mindt S, Karampinis I, John M, Neumaier M, Nowak K.
Stability and degradation of indocyanine green in plasma, aqueous solution and whole blood.
Photochemical & Photobiological Sciences 2018

  Mentions Légales