Senaste uppdateringen :
18/03/2026
Diverse   Indocyanine green  
injektion
Lösningars stabilitet Stabilitet i blandningar Faktorer som påverkar stabiliteten Kompatibilitet Administreringssätt Hänvisningar pdf
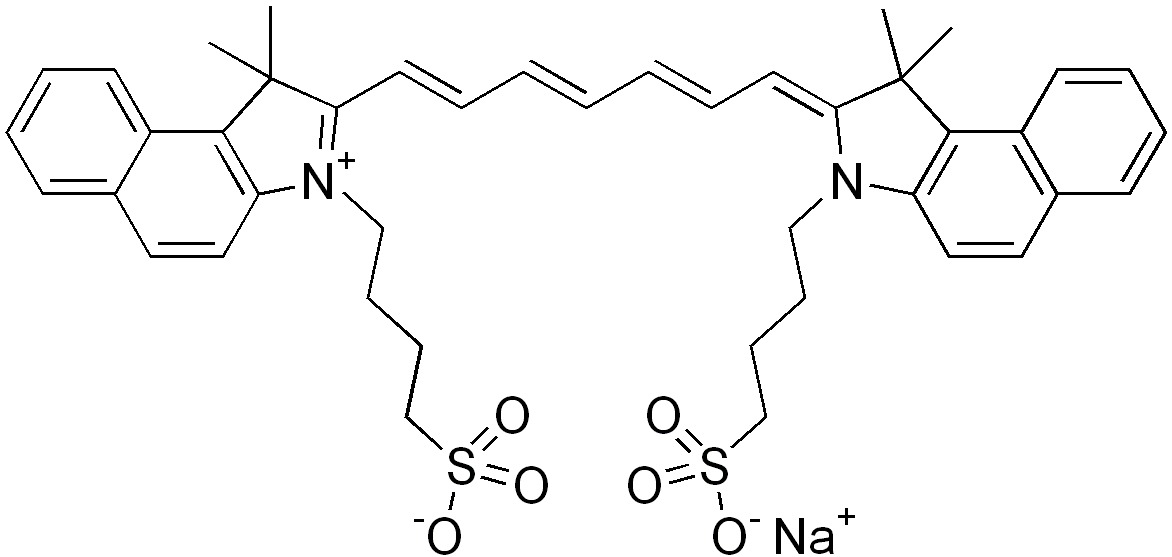
   Molekylstruktur  

Varunamn   Varunamn     

Angivna handelsnamn på läkemedel är enbart vägledande då formulering inklusive hjälpämnen kan variera mellan länder och tillverkare

Infracyanine Frankrike
Verdye Belgien, Irland, Italien, Rumänien, Spanien, Sverige, Tyskland, Ungern
Hänvisningar   injektion   Hänvisningar : Indocyanine green  
Typ Publikation
3930 Laboratorium Indocyanine (Infracyanine®) - Résumé des caractéristiques du produit
Serb laboratoire 2013
4246 affisch Perks W, Law S, Marchesano R, Walker SE.
Stability of 2.5mg/mL Indocyanine Green (ICG) Solutions Stored in Syringes at 25ºC, 4ºC, -20ºC and -67ºC.
2019
4289 tidningen Mindt S, Karampinis I, John M, Neumaier M, Nowak K.
Stability and degradation of indocyanine green in plasma, aqueous solution and whole blood.
Photochemical & Photobiological Sciences 2018

  Mentions Légales