Ultimo aggiornamento :
31/03/2026
Antibiotico   Tobramycin sulfate  
Aerosol
Collirio Iniezione Soluzione orale
Stabilità dei preparati farmaceutici Stabilità in miscela Fattori che influenzano la stabilità Compatibilità Bibliografia pdf
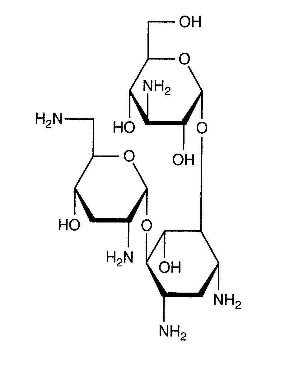
   Struttura chimica  

Aerosol
Compatibilità   Aerosol   Compatibilità : Tobramycin sulfate              
explication_incompatibilite_molecules
Molecola Excipient Bibliografia

  Mentions Légales