Cập nhật lần cuối :
05/12/2025
Vitamin   Phytomenadione  
Dung dịch uống
Dạng tiêm
Tính ổn định của các chế phẩm Độ ổn định khi trộn lẫn Những yếu tố ảnh hưởng đến độ ổn định Khả năng tương thích Tài liệu tham khảo Pdf
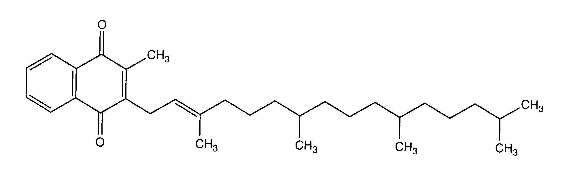
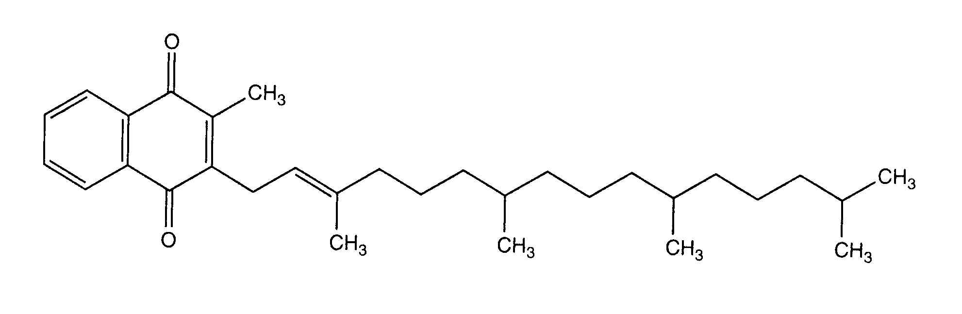
   Cấu trúc hóa học  

Dung dịch uống
Tính ổn định của các chế phẩm   Dung dịch uống   Tính ổn định của các chế phẩm : Phytomenadione     
Bao bì Nguyên bản Tá dược Nhiệt độ Bảo quản Thời gian ổn định Mục lục
Thủy tinh Lọ thuốc tiêm 60 mg
® = Vitamine K1 injectable (Hospira)
Nước pha tiêm >> 60 ml
4°C Tránh ánh sáng
105 Ngày
4140

Ống tiêm bằng nhựa polypropylen đường uống Lọ thuốc tiêm 0,1 g
® = ?
Cremophor E1 2 g
Nước pha tiêm >> 100 mL
4-6°C Tránh ánh sáng
180 Ngày
2697

Ống tiêm bằng nhựa polypropylen đường uống Lọ thuốc tiêm 1 mg
® = Vitamine K1 injectable (Hospira)
Nước pha tiêm >> 1 ml
4°C Tránh ánh sáng
14 Ngày
4140

Ống tiêm bằng nhựa polypropylen đường uống Lọ thuốc tiêm 1 mg
® = Vitamine K (HOSPIRA)
Si rô anh đào >> 1 mL
5°C Tránh ánh sáng
24 Giờ
4317

Ống tiêm bằng nhựa polypropylen đường uống Lọ thuốc tiêm 1 mg
® = Vitamine K (HOSPIRA)
Nước pha tiêm >> 1 mL
5°C Tránh ánh sáng
14 Ngày
4317

Ống tiêm bằng nhựa polypropylen đường uống Lọ thuốc tiêm 1 mg
® = Vitamine K (HOSPIRA)
Syrpalta® >> 1 mL
5°C Tránh ánh sáng
4 Ngày
4317


  Mentions Légales