Laatste update :
18/03/2026
Vitamine   Phytomenadione  
Orale Oplossing
injecteerbaar geneesmiddel
Stabiliteit van farmaceutische preparaten Stabiliteit in mengsels Factoren die de stabiliteit beïnvloeden Verenigbaarheden Literatuur pdf
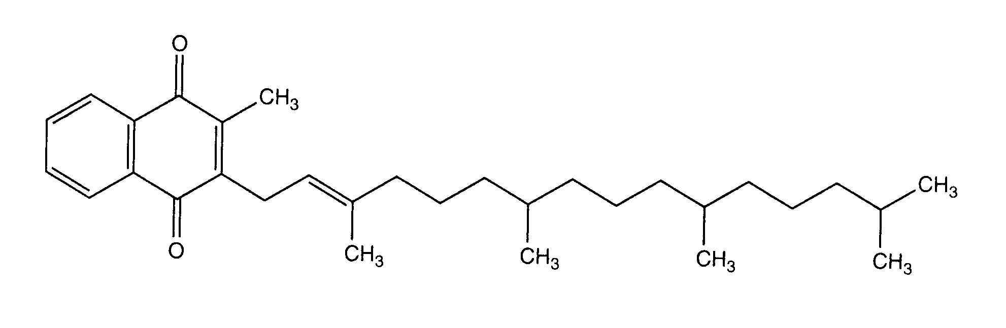
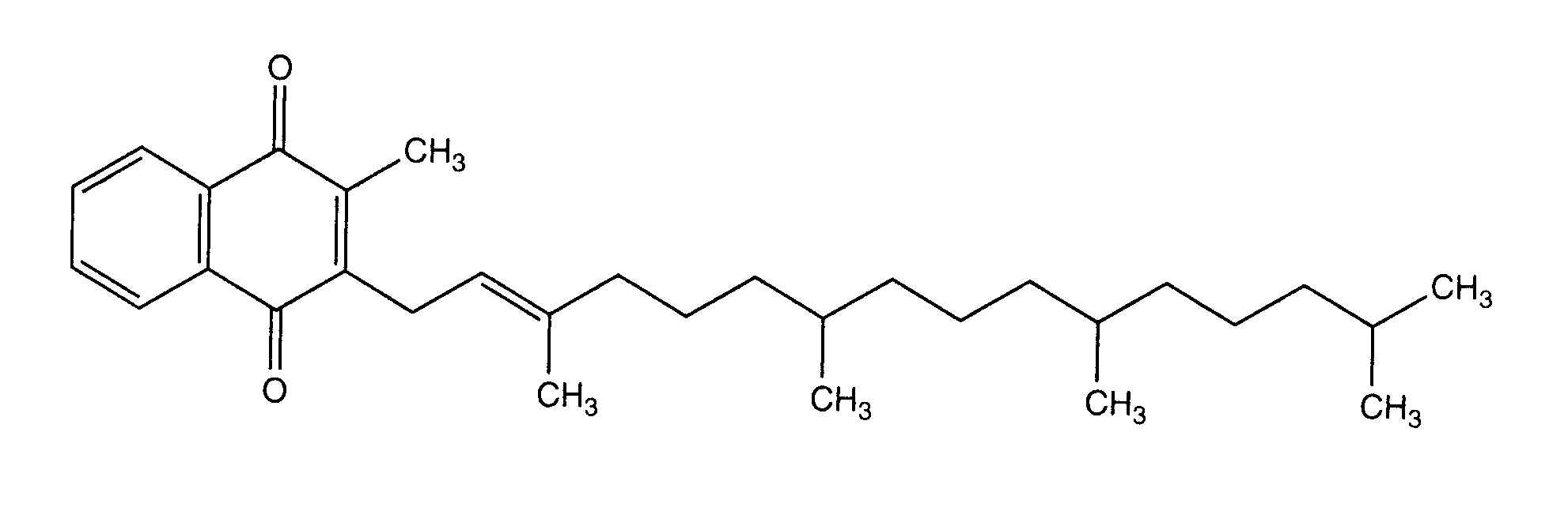
   Molecuulstructuur  

Orale Oplossing
Stabiliteit van farmaceutische preparaten   Orale Oplossing   Stabiliteit van farmaceutische preparaten : Phytomenadione     
Verpakking Origine  ikˈsipēənt hulpstof Temperatuur Bewaring Duur van de stabiliteit Literatuur
Glas Geneeskunde fles voor injectie 60 mg
® = Vitamine K1 injectable (Hospira)
water voor injectie >> 60 ml
4°C Buiten invloed van licht
105 Dag
4140

injectiespuit Geneeskunde fles voor injectie 0,1 g
® = ?
Cremophor E1 2 g
water voor injectie >> 100 mL
4-6°C Buiten invloed van licht
180 Dag
2697

injectiespuit Geneeskunde fles voor injectie 1 mg
® = Vitamine K1 injectable (Hospira)
water voor injectie >> 1 ml
4°C Buiten invloed van licht
14 Dag
4140

injectiespuit Geneeskunde fles voor injectie 1 mg
® = Vitamine K (HOSPIRA)
kersensiroop >> 1 mL
5°C Buiten invloed van licht
24 Uur
4317

injectiespuit Geneeskunde fles voor injectie 1 mg
® = Vitamine K (HOSPIRA)
water voor injectie >> 1 mL
5°C Buiten invloed van licht
14 Dag
4317

injectiespuit Geneeskunde fles voor injectie 1 mg
® = Vitamine K (HOSPIRA)
Syrpalta® >> 1 mL
5°C Buiten invloed van licht
4 Dag
4317


  Mentions Légales