Zadnji put ažurirano :
18/03/2026
vitamini   Phytomenadione  
oralna otopina
injekcija
Stabilnost farmaceutskih pripravaka Stabilnost mješavine Stabilizacijski faktor Kompatibilnosti Bibliografija pdf
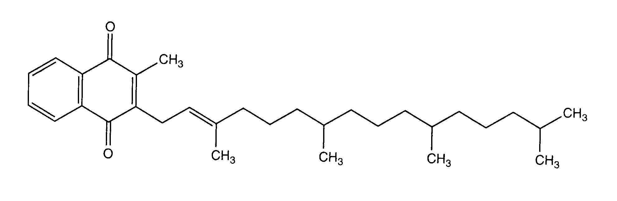
   Kemijska struktura  

oralna otopina

Stabilizacijski faktor   oralna otopina     Stabilizacijski faktor : Phytomenadione        
bez podataka

  Mentions Légales