Last update :
18/03/2026
Vitamin   Phytomenadione  
Oral solution
injection
Stability of pharmaceutical preparations Stability of mixtures Factors which affect stability Compatibility References pdf
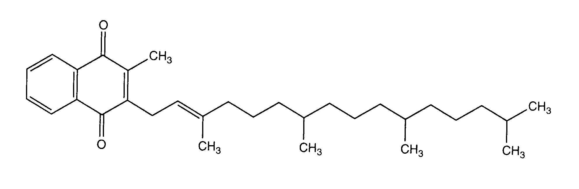
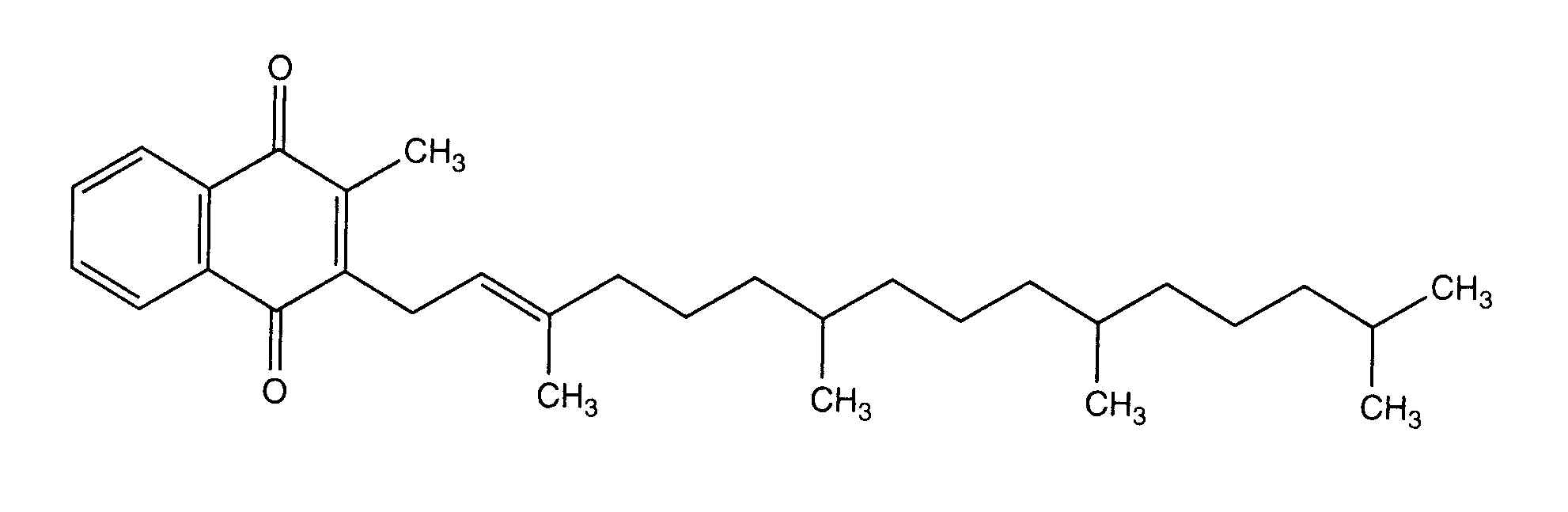
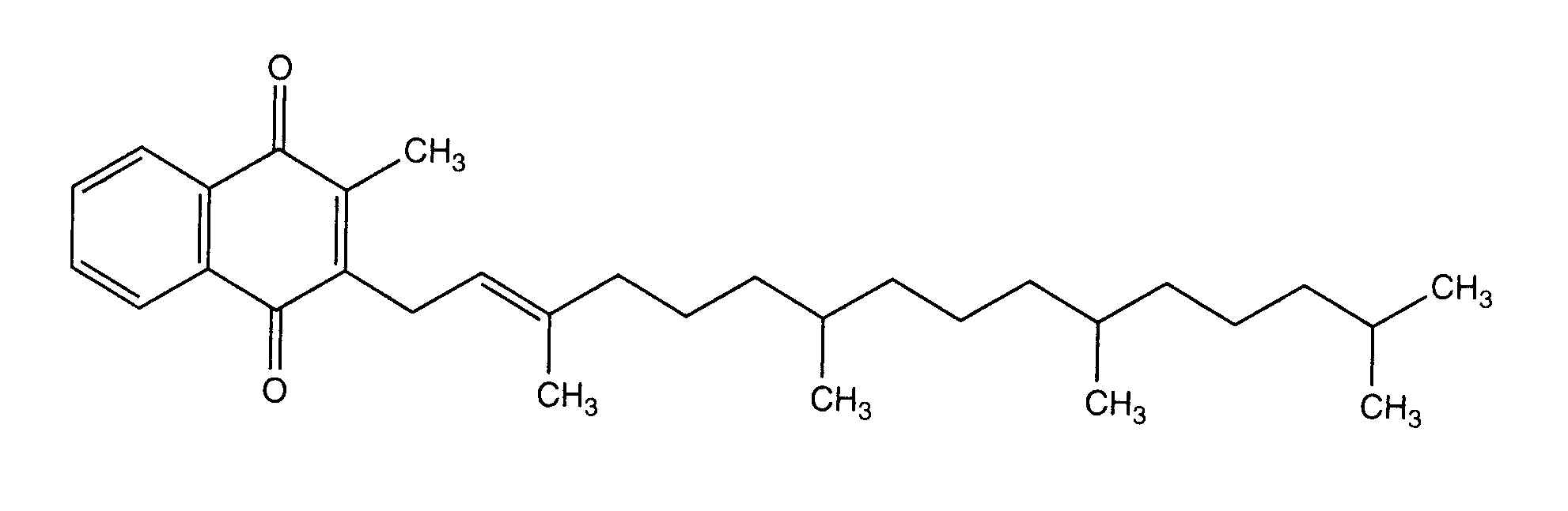
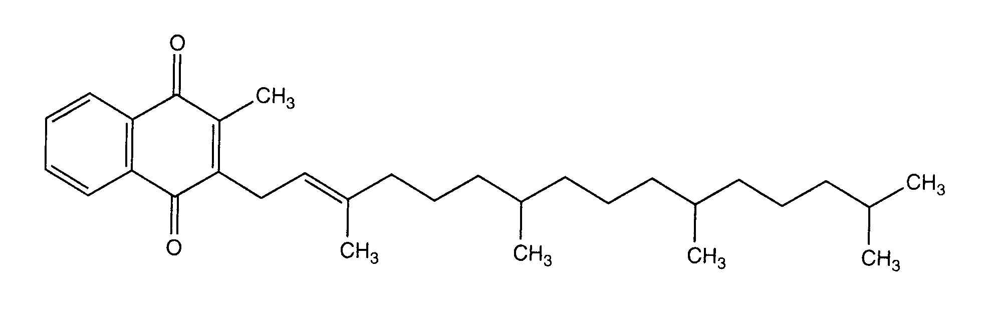
   Chemical structure  

Oral solution

Factors which affect stability   Oral solution   Factors which affect stability : Phytomenadione        
No data

  Mentions Légales