Siste oppdatering :
18/03/2026
kreft narkotika   Paclitaxel  
Injeksjon
Oppløsningsstabilitet Stabilitet i blandinger Faktorer som påvirker stabiliteten Kompatibilitet Administrasjonsmåte Referanser pdf
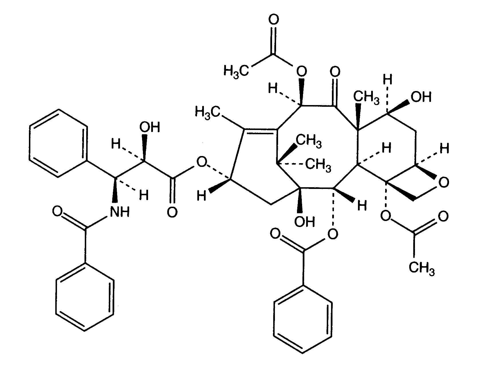
   Kjemisk struktur  

Handelsnavn   Handelsnavn     

Handelsnavn er veiledende og sammensetning av hjelpestoffer kan være forskjellig avhengig av land og produsent

Aclipak Malaysia
Acoexcel Mexico
Acupaxil Marokko
Anzatax De forente arabiske emirater, Egypt, Iran, Malaysia, Marokko, New Zealand, Peru, Saudi-Arabia, Tunisia, Tyrkia
Aritaxel Tyskland
Cantaxel India
Clitaxel Argentina, Venezuela
Dalys Argentina
Ebetaxel Iran, Marokko, Saudi-Arabia, Tunisia, Tyrkia, Østerrike
Genexol Egypt, India, Iran
Onxol USA
Paclinova Argentina
Paclitaxin Brasil, Luxembourg, Malaysia, Slovenia
Parexel Brasil, Colombia, Ecuador, Venezuela
Paxene Danmark, Hellas, Irland, Nederland, Polen, Spania
Poltaxel Polen
Ribotax Tyskland
Taxol Brasil, Colombia, Danmark, De forente arabiske emirater, Egypt, Hellas, Iran, Italia, Japan, Malaysia, Marokko, Nederland, New Zealand, Peru, Polen, Portugal, Slovenia, Sveits, Sverige, Tyrkia, Venezuela, Østerrike
Taxomedac Tyskland
Vitax Brasil, Peru, Tyrkia
Referanser   Injeksjon   Referanser : Paclitaxel  
Type publikasjon
38 Journal Allwood MC, Martin HJ.
The extraction of diethylhexylphtalate (DEHP) from polyvinyl chloride components of intravenous infusion containers and administration sets by paclitaxel injection.
Int J Pharm 1996 ; 127: 65-71.
47 Journal Burm JP, Jhee SS, Chin A, Moon YSK.
Stability of paclitaxel with ondansetron or ranitidine hydrochloride during simulated Y site administration.
Am J Hosp Pharm 1994 ; 51: 1201-1204.
57 Journal Mayron D, Gennaro AR.
Stability and compatibility of granisetron hydrochloride in IV solutions and oral liquids and during simulated Y-site injection with selected drugs.
Am J Health-Syst Pharm 1996 ; 53: 294-304.
85 Journal Trissel LA, Bready BB.
Turbidimetric assessment of the compatibility of taxol with selected other drugs during simulated Y-site injection.
Am J Hosp Pharm 1992 ; 49: 1716-1719.
140 Journal Pearson SD, Trissel LA.
Leaching of diethylhexyl phthalate from polyvinyl chloride containers by selected drugs and formulation components.
Am J Hosp Pharm 1993 ; 50: 1405-1409.
151 Journal Burm JP, Choi JS, Jhee SS, Chin A, Ulrich RW, Gill MA.
Stability of paclitaxel and fluconazole during simulated Y-site administration.
Am J Hosp Pharm 1994 ; 51: 2704-2706.
157 Journal Xu QA, Trissel LA, Martinez JF.
Stability of paclitaxel in 5% dextrose injection or 0.9% sodium chloride injection at 4, 22, or 32°C.
Am J Hosp Pharm 1994 ; 51: 3058-3060.
158 Journal Trissel LA, Xu QA, Kwan J, Martinez JF.
Compatibility of paclitaxel injection vehicle with intravenous administration and extension sets.
Am J Hosp Pharm 1994 ; 51: 2804-2810.
173 Journal Williams DA, Naik A.
Precipitation of paclitaxel from continuous infusion fluids.
J Infus Chemother 1994 ; 4: 140-142.
182 Journal Trissel LA, Gilbert DL, Martinez JF.
Compatibility of granisetron hydrochloride with selected drugs during simulated Y-site administration.
Am J Health-Syst Pharm 1997 ; 54: 56-60.
248 Journal Trissel LA, Martinez JF.
Turbidimetric assessment of the compatibility of taxol with 42 other drugs during simulated Y-site injection.
Am J Hosp Pharm 1993 ; 50: 300-304.
249 Journal Trissel LA, Martinez JF.
Compatibility of thiotepa (lyophilized) with selected drugs during simulated Y-site administration.
Am J Health-Syst Pharm 1996 ; 53: 1041-1045.
250 Journal Mazzo DJ, Nguyen-Huu JJ, Pagniez S, Denis P.
Compatibility of docetaxel and paclitaxel in intravenous solutions with polyvinyl chloride infusion materials.
Am J Health-Syst Pharm 1997 ; 54: 566-569.
251 Journal Trissel LA, Gilbert DL, Martinez JF.
Compatibility of doxorubicin hydrochloride liposome injection with selected other drugs during simulated Y-site administration.
Am J Health-Syst Pharm 1997 ; 54: 2708-2713.
300 Journal Trissel LA, Gilbert DL, Martinez JF.
Compatibility of propofol injectable emulsion with selected drugs during simulated Y-site administration.
Am J Health-Syst Pharm 1997 ; 54: 1287-1292.
301 Journal Trissel LA, Gilbert DL, Martinez JF, Baker MB, Walter WV, Mirtallo JM.
Compatibility of parenteral nutrient solutions with selected drugs during simulated Y-site administration.
Am J Health-Syst Pharm 1997 ; 54: 1295-1300.
412 Journal Waugh WN, Trissel LA, Stella VJ.
Stability, compatibility, and plasticizer extraction of taxol (NSC-125973) injection diluted in infusion solutions and stored in various containers.
Am J Hosp Pharm 1991 ; 48: 1520-1524.
669 Journal Chin A, Ramakrishnan RR, Yoshimura NN, Jeong EWS, Nii LJ, DiMeglio LS.
Paclitaxel stability and compatibility in polyolefin containers.
Ann Pharmacotherapy 1994 ; 28: 35-36.
872 Journal Zhang YP, Xu QA, Trissel LA, Gilbert DL, Martinez F.
Compatibility and stability of paclitaxel combined with cisplatin and with carboplatin in infusion solutions.
Ann Pharmacotherapy 1997 ; 31: 1465-1470.
921 Journal Trissel LA, Gilbert DL, Martinez JF.
Incompatibility and compatibility of amphotericin B cholesteryl sulfate complex with selected other drugs during simulated Y-site administration.
Hosp Pharm 1998 ; 33: 284-292.
1026 Journal Mayron D, Gennaro AR.
Stability and compatibility of topotecan hydrochloride with selected drugs.
Am J Health-Syst Pharm 1999 ; 56: 875-881.
1286 Journal Trissel LA, Xu QA, Gilbert DL.
Compatibility and stability of paclitaxel combined with doxorubicin hydrochloride in infusion solutions.
Ann Pharmacotherapy 1998 ; 32: 1013-1016.
1410 Journal Trissel LA, Martinez JF, Simmons M.
Compatibility of etoposide phosphate with selected drugs during simulated Y-site injection.
J Am Pharm Assoc 1999 ; 39: 141-145.
1415 Journal Trissel L.A, Gilbert D.L, Martinez J.F, Baker M.B, Walter W.V, Mirtallo J.M.
Compatibility of medications with 3-in-1 parenteral nutrition admixtures.
JPEN 1999 ; 23: 67-74.
1423 Journal Trissel LA, Martinez JF, Gilbert DL.
Compatibility of gemcitabine hyrochloride with 107 selected drugs during simulated Y-site injection.
J Am Pharm Assoc 1999 ; 39: 514-518.
1496 Journal Trissel LA, Martinez JF, Gilbert DL.
Screening cladribine for Y-site physical compatibility with selected drugs.
Hosp Pharm 1996 ; 31: 1425-1428.
1520 Labratorium Etude de stabilité des médicaments en Ecoflac®
B Braun 2001
1522 Labratorium Macoflex N®
Maco Pharma 2001
1625 Journal Trissel LA, Saenz C, Williams YW, Ingram D.
Incompatibilities of lansoprazole injection with other drugs during simulated Y-site coadministration.
Int J Pharm Compound 2001 ; 5: 314-321.
1662 Journal Trissel LA, Saenz CA, Ingram DS, Ogundele AB.
Compatibility screening of oxaliplatin during simulated Y-site administration with other drugs.
J Oncol Pharm Practice 2002 ; 8: 33-37.
1741 Journal Pfeifer RW, Hale KN, Cronquist SE, Daniels M.
Precipitation of paclitaxel during infusion by pump.
Am J Hosp Pharm 1993 ; 50: 2518-2521.
1865 Journal Sautou-Miranda V, Brigas F, Vanheerswinghels S, Chopineau J.
Compatibility of paclitaxel in 5% glucose solution with ECOFLAC® low-density polyethylene containers - Stability under different storage conditions.
Int J Pharm 1999 ; 178: 77-82.
1925 Journal Trissel LA , Williams KY, Gilbert DL.
Compatibility screening of linezolid injection during simulated Y-site administration with other drugs and infusion solutions.
J Am Pharm Assoc 2000 ; 40: 515-519.
1940 Journal Xu QA, Trissel LA.
Stability of palonosetron hydrochloride with paclitaxel and docetaxel during simulated Y-site administration.
Am J Health-Syst Pharm 2004 ; 61: 1596-1598.
1953 Journal Trissel LA, Saenz CA, Ogundele AB, Ingram DS.
Physical compatibility of pemetrexed disodium with other drugs during simulated Y-site administration.
Am J Health-Syst Pharm 2004 ; 61: 2289-2293.
1956 Labratorium Paclitaxel - Summary of Product Characteristics
Hospira UK Limited 2015
1961 Journal Kim SC, Yoon HJ, Lee JW, Yu J, Park ES, Chi SC.
Investigation of the release behavior of DEHP from infusion sets by paclitaxel-loaded polymeric micelles.
Int J Pharm 2005 ; 293: 303-310.
1982 Journal Trissel LA, Ogundele AB.
Compatibility of anidulafungin with other drugs during simulated Y-site administration.
Am J Health-Syst Pharm 2005 ; 62: 834-837.
2014 Journal Pourroy B, Botta C, Solas C, Lacarelle B, Braguer D.
Seventy-two-hour stability of Taxol® in 5% dextrose or 0.9% sodium chloride in Viaflo®, Freeflex®, Ecoflac® and Macoflex N® non PVC bags.
J Clin Pharm Ther 2005 ; 30: 455-458.
2172 Journal Donyai P, Sewell GJ.
Physical and chemical stability of paclitaxel infusions in different container types.
J Oncol Pharm Practice 2006 ; 12, 4: 211-222.
2174 Journal Kattige A.
Long-term physical and chemical stability of a generic paclitaxel infusion under simulated storage and clinical-use conditions.
EJHP Science 2006 ; 12, 6: 129-134.
2262 Journal Brammer MK, Chan P, Heatherly K, Trusley C, Kupiec TC, Trissel LA, Psathas PA, Gilmor T, Schaufelberger D.
Compatibility of doripenem with other drugs during simulated Y-site administratioN
Am J Health-Syst Pharm 2008 ; 65: 1261-1265.
3093 Journal Tian J, Stella VJ.
Degradation of paclitaxel and related compounds in aqueous solutions III: Degradation under acidic pH conditions and overall kinetics
J Pharm Sci 2010 ; 99, 3 : 1288-1298.
3277 Journal Yang Z, Cameron S, Paul H.
Stability of Carboplatin, Paclitaxel, and Docetaxel with Acetyl-L-carnitine During Simulated Y-site Administration.
Int J Pharm Compound 2012 ; 16, 1 : 82-85.
3578 Labratorium Cisplatin - Summary of Product Characteristics
Accord Healthcare 2011

  Mentions Légales