Последно актуализиране :
18/03/2026
противораково лекарство   Paclitaxel  
Инжекция/Инжекционен
Стабилност на разтвори Стабилност на смеси Фактори, повлияващи стабилността Съвместимост Път на въвеждане Библиография Pdf
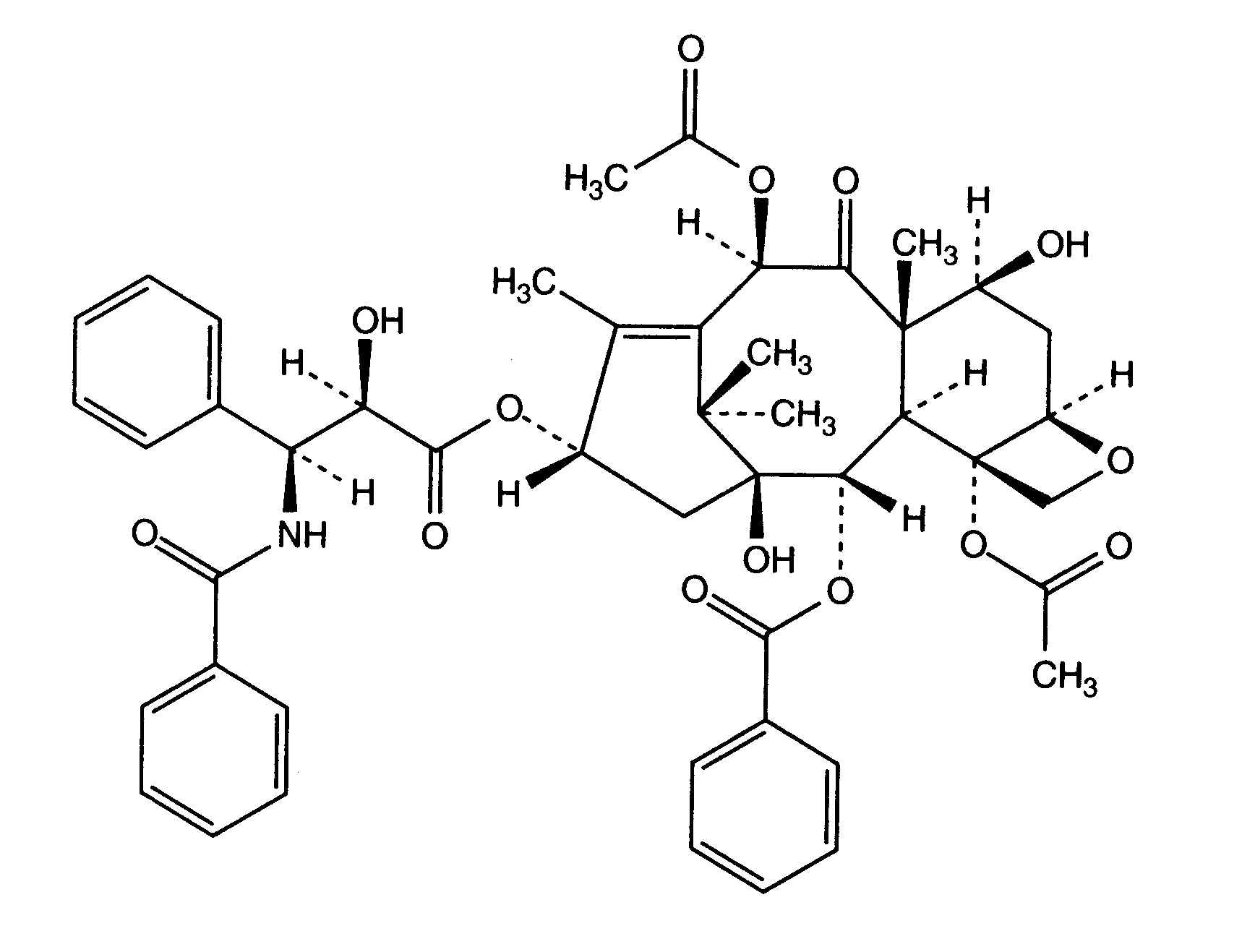
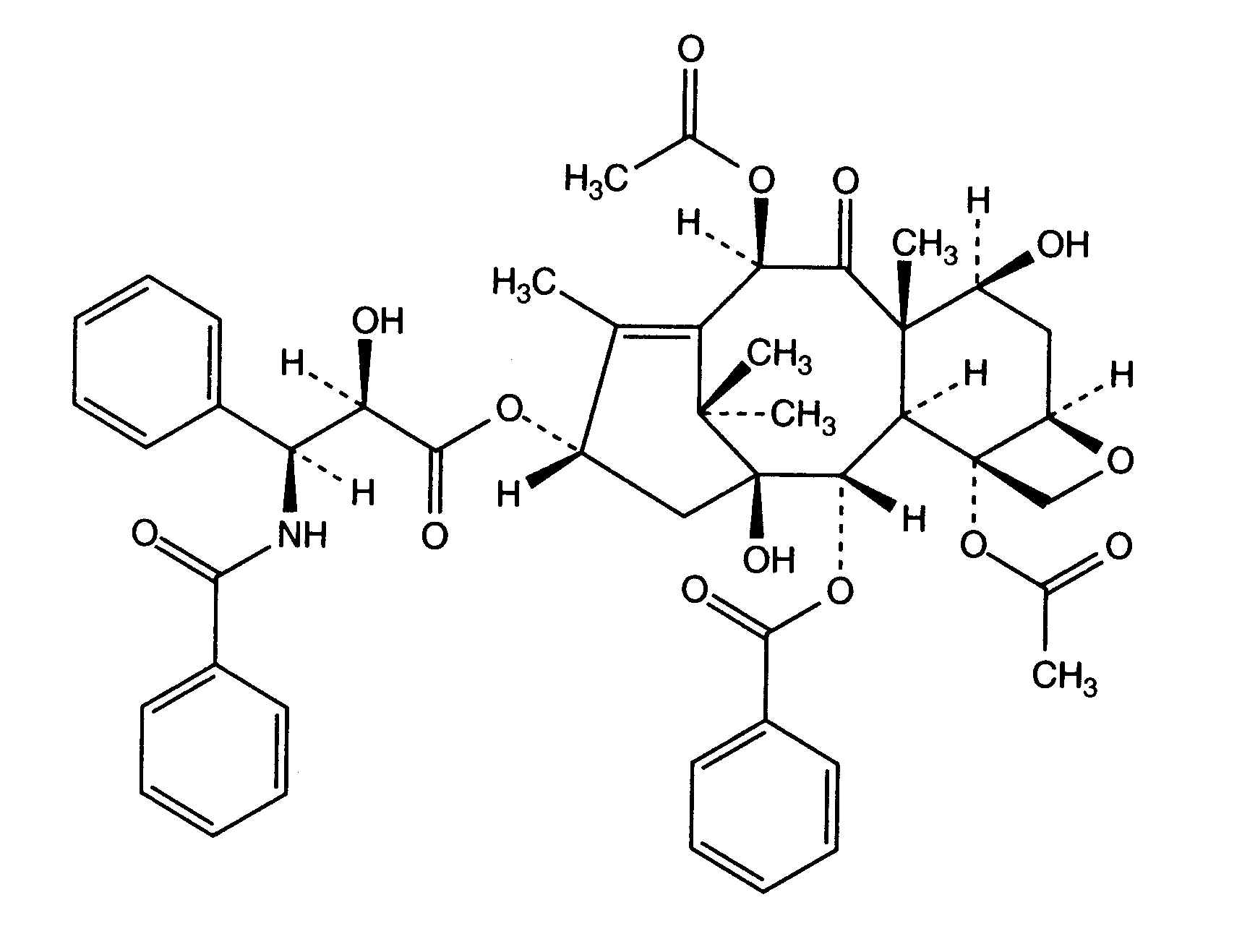
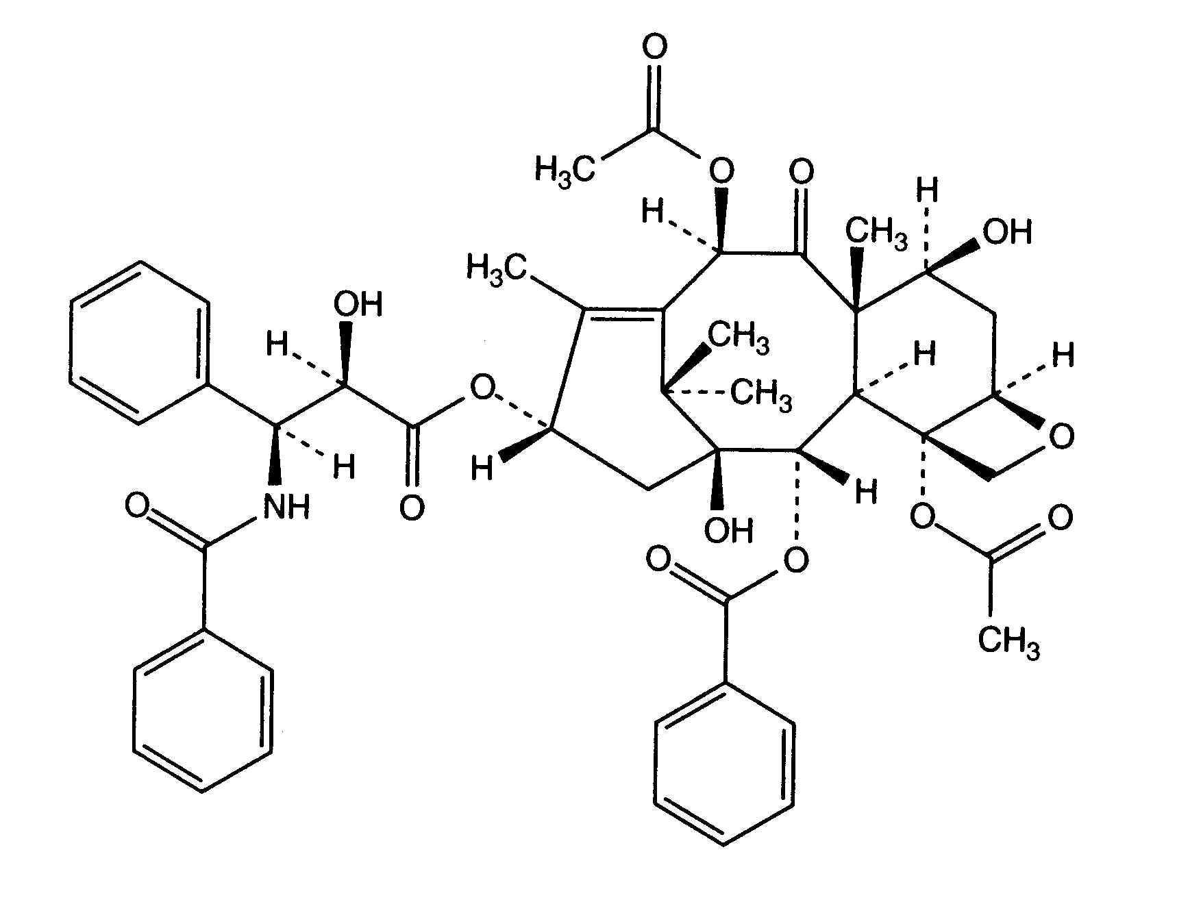
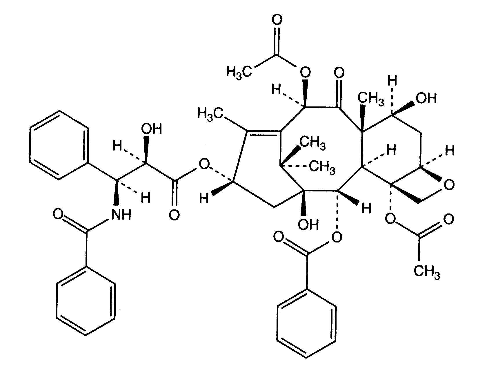
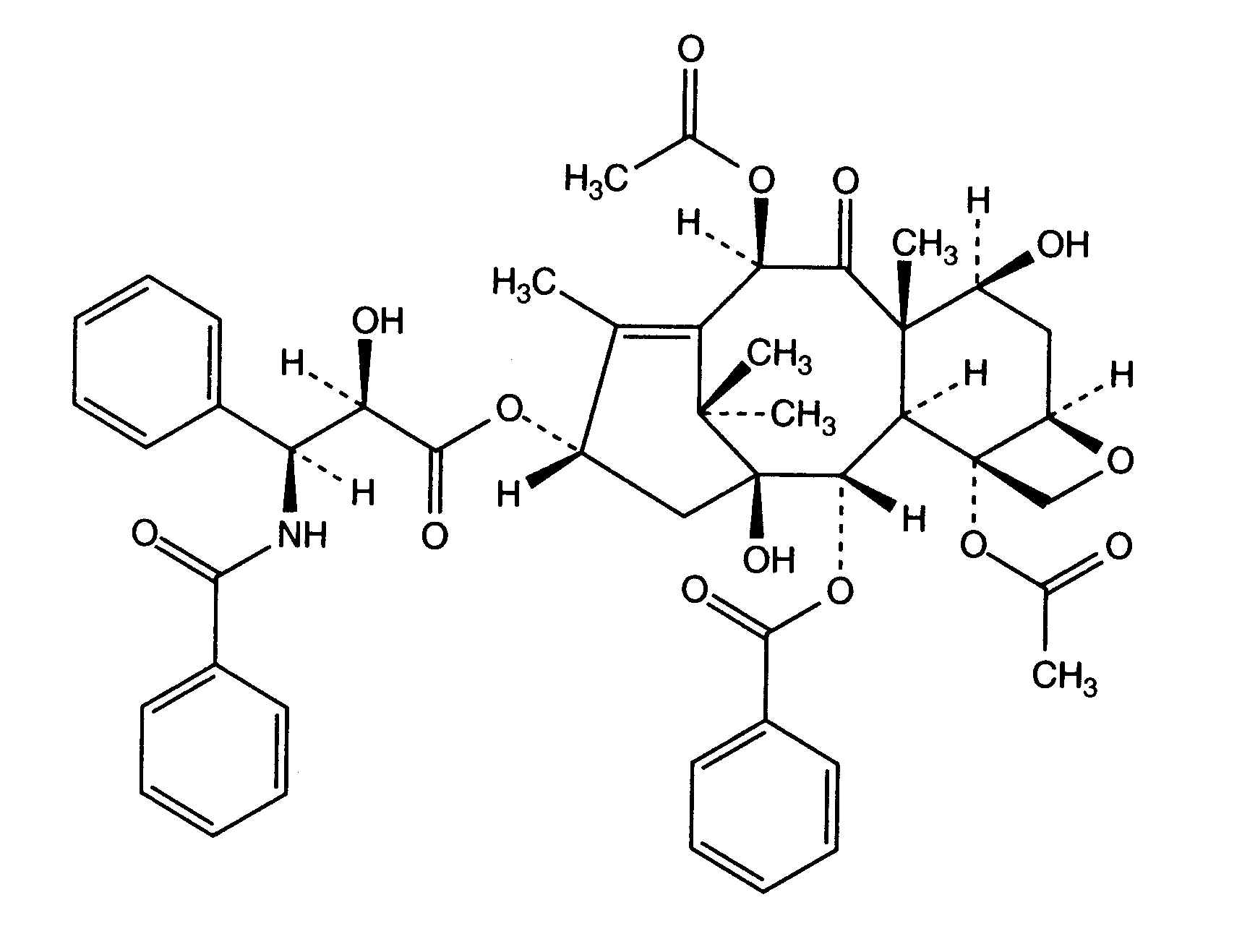
   Химична структура  

Търговско наименование   Търговско наименование     

Търговските имена са примерни и съставът на помощните вещества може да бъде различен в зависимост от държавата и лабораториите

Aclipak Малайзия
Acoexcel Мексико
Acupaxil Мароко
Anzatax Египет, Иран, Малайзия, Мароко, нова Зеландия, Обединени арабски емирства, Перу, Саудитска Арабия, Тунис, Турция
Aritaxel Германия
Cantaxel Индия
Clitaxel Аржентина, Венецуела
Dalys Аржентина
Ebetaxel Австрия, Иран, Мароко, Саудитска Арабия, Тунис, Турция
Genexol Египет, Индия, Иран
Onxol Съединени Американски щати / САЩ
Paclinova Аржентина
Paclitaxin Бразилия, Люксенбург, Малайзия, Словения
Parexel Бразилия, Венецуела, Еквадор, Колумбия
Paxene Гърция, Дания, Ирландия, Испания, Полша, Холандия
Poltaxel Полша
Ribotax Германия
Taxol Австрия, Бразилия, Венецуела, Гърция, Дания, Египет, Иран, Италия, Колумбия, Малайзия, Мароко, нова Зеландия, Обединени арабски емирства, Перу, Полша, Португалия, Словения, Турция, Холандия, Швейцария, Швеция, Япония
Taxomedac Германия
Vitax Бразилия, Перу, Турция
Библиография   Инжекция/Инжекционен   Библиография : Paclitaxel  
Вид Публикация
38 Списание Allwood MC, Martin HJ.
The extraction of diethylhexylphtalate (DEHP) from polyvinyl chloride components of intravenous infusion containers and administration sets by paclitaxel injection.
Int J Pharm 1996 ; 127: 65-71.
47 Списание Burm JP, Jhee SS, Chin A, Moon YSK.
Stability of paclitaxel with ondansetron or ranitidine hydrochloride during simulated Y site administration.
Am J Hosp Pharm 1994 ; 51: 1201-1204.
57 Списание Mayron D, Gennaro AR.
Stability and compatibility of granisetron hydrochloride in IV solutions and oral liquids and during simulated Y-site injection with selected drugs.
Am J Health-Syst Pharm 1996 ; 53: 294-304.
85 Списание Trissel LA, Bready BB.
Turbidimetric assessment of the compatibility of taxol with selected other drugs during simulated Y-site injection.
Am J Hosp Pharm 1992 ; 49: 1716-1719.
140 Списание Pearson SD, Trissel LA.
Leaching of diethylhexyl phthalate from polyvinyl chloride containers by selected drugs and formulation components.
Am J Hosp Pharm 1993 ; 50: 1405-1409.
151 Списание Burm JP, Choi JS, Jhee SS, Chin A, Ulrich RW, Gill MA.
Stability of paclitaxel and fluconazole during simulated Y-site administration.
Am J Hosp Pharm 1994 ; 51: 2704-2706.
157 Списание Xu QA, Trissel LA, Martinez JF.
Stability of paclitaxel in 5% dextrose injection or 0.9% sodium chloride injection at 4, 22, or 32°C.
Am J Hosp Pharm 1994 ; 51: 3058-3060.
158 Списание Trissel LA, Xu QA, Kwan J, Martinez JF.
Compatibility of paclitaxel injection vehicle with intravenous administration and extension sets.
Am J Hosp Pharm 1994 ; 51: 2804-2810.
173 Списание Williams DA, Naik A.
Precipitation of paclitaxel from continuous infusion fluids.
J Infus Chemother 1994 ; 4: 140-142.
182 Списание Trissel LA, Gilbert DL, Martinez JF.
Compatibility of granisetron hydrochloride with selected drugs during simulated Y-site administration.
Am J Health-Syst Pharm 1997 ; 54: 56-60.
248 Списание Trissel LA, Martinez JF.
Turbidimetric assessment of the compatibility of taxol with 42 other drugs during simulated Y-site injection.
Am J Hosp Pharm 1993 ; 50: 300-304.
249 Списание Trissel LA, Martinez JF.
Compatibility of thiotepa (lyophilized) with selected drugs during simulated Y-site administration.
Am J Health-Syst Pharm 1996 ; 53: 1041-1045.
250 Списание Mazzo DJ, Nguyen-Huu JJ, Pagniez S, Denis P.
Compatibility of docetaxel and paclitaxel in intravenous solutions with polyvinyl chloride infusion materials.
Am J Health-Syst Pharm 1997 ; 54: 566-569.
251 Списание Trissel LA, Gilbert DL, Martinez JF.
Compatibility of doxorubicin hydrochloride liposome injection with selected other drugs during simulated Y-site administration.
Am J Health-Syst Pharm 1997 ; 54: 2708-2713.
300 Списание Trissel LA, Gilbert DL, Martinez JF.
Compatibility of propofol injectable emulsion with selected drugs during simulated Y-site administration.
Am J Health-Syst Pharm 1997 ; 54: 1287-1292.
301 Списание Trissel LA, Gilbert DL, Martinez JF, Baker MB, Walter WV, Mirtallo JM.
Compatibility of parenteral nutrient solutions with selected drugs during simulated Y-site administration.
Am J Health-Syst Pharm 1997 ; 54: 1295-1300.
412 Списание Waugh WN, Trissel LA, Stella VJ.
Stability, compatibility, and plasticizer extraction of taxol (NSC-125973) injection diluted in infusion solutions and stored in various containers.
Am J Hosp Pharm 1991 ; 48: 1520-1524.
669 Списание Chin A, Ramakrishnan RR, Yoshimura NN, Jeong EWS, Nii LJ, DiMeglio LS.
Paclitaxel stability and compatibility in polyolefin containers.
Ann Pharmacotherapy 1994 ; 28: 35-36.
872 Списание Zhang YP, Xu QA, Trissel LA, Gilbert DL, Martinez F.
Compatibility and stability of paclitaxel combined with cisplatin and with carboplatin in infusion solutions.
Ann Pharmacotherapy 1997 ; 31: 1465-1470.
921 Списание Trissel LA, Gilbert DL, Martinez JF.
Incompatibility and compatibility of amphotericin B cholesteryl sulfate complex with selected other drugs during simulated Y-site administration.
Hosp Pharm 1998 ; 33: 284-292.
1026 Списание Mayron D, Gennaro AR.
Stability and compatibility of topotecan hydrochloride with selected drugs.
Am J Health-Syst Pharm 1999 ; 56: 875-881.
1286 Списание Trissel LA, Xu QA, Gilbert DL.
Compatibility and stability of paclitaxel combined with doxorubicin hydrochloride in infusion solutions.
Ann Pharmacotherapy 1998 ; 32: 1013-1016.
1410 Списание Trissel LA, Martinez JF, Simmons M.
Compatibility of etoposide phosphate with selected drugs during simulated Y-site injection.
J Am Pharm Assoc 1999 ; 39: 141-145.
1415 Списание Trissel L.A, Gilbert D.L, Martinez J.F, Baker M.B, Walter W.V, Mirtallo J.M.
Compatibility of medications with 3-in-1 parenteral nutrition admixtures.
JPEN 1999 ; 23: 67-74.
1423 Списание Trissel LA, Martinez JF, Gilbert DL.
Compatibility of gemcitabine hyrochloride with 107 selected drugs during simulated Y-site injection.
J Am Pharm Assoc 1999 ; 39: 514-518.
1496 Списание Trissel LA, Martinez JF, Gilbert DL.
Screening cladribine for Y-site physical compatibility with selected drugs.
Hosp Pharm 1996 ; 31: 1425-1428.
1520 Лаборатория Etude de stabilité des médicaments en Ecoflac®
B Braun 2001
1522 Лаборатория Macoflex N®
Maco Pharma 2001
1625 Списание Trissel LA, Saenz C, Williams YW, Ingram D.
Incompatibilities of lansoprazole injection with other drugs during simulated Y-site coadministration.
Int J Pharm Compound 2001 ; 5: 314-321.
1662 Списание Trissel LA, Saenz CA, Ingram DS, Ogundele AB.
Compatibility screening of oxaliplatin during simulated Y-site administration with other drugs.
J Oncol Pharm Practice 2002 ; 8: 33-37.
1741 Списание Pfeifer RW, Hale KN, Cronquist SE, Daniels M.
Precipitation of paclitaxel during infusion by pump.
Am J Hosp Pharm 1993 ; 50: 2518-2521.
1865 Списание Sautou-Miranda V, Brigas F, Vanheerswinghels S, Chopineau J.
Compatibility of paclitaxel in 5% glucose solution with ECOFLAC® low-density polyethylene containers - Stability under different storage conditions.
Int J Pharm 1999 ; 178: 77-82.
1925 Списание Trissel LA , Williams KY, Gilbert DL.
Compatibility screening of linezolid injection during simulated Y-site administration with other drugs and infusion solutions.
J Am Pharm Assoc 2000 ; 40: 515-519.
1940 Списание Xu QA, Trissel LA.
Stability of palonosetron hydrochloride with paclitaxel and docetaxel during simulated Y-site administration.
Am J Health-Syst Pharm 2004 ; 61: 1596-1598.
1953 Списание Trissel LA, Saenz CA, Ogundele AB, Ingram DS.
Physical compatibility of pemetrexed disodium with other drugs during simulated Y-site administration.
Am J Health-Syst Pharm 2004 ; 61: 2289-2293.
1956 Лаборатория Paclitaxel - Summary of Product Characteristics
Hospira UK Limited 2015
1961 Списание Kim SC, Yoon HJ, Lee JW, Yu J, Park ES, Chi SC.
Investigation of the release behavior of DEHP from infusion sets by paclitaxel-loaded polymeric micelles.
Int J Pharm 2005 ; 293: 303-310.
1982 Списание Trissel LA, Ogundele AB.
Compatibility of anidulafungin with other drugs during simulated Y-site administration.
Am J Health-Syst Pharm 2005 ; 62: 834-837.
2014 Списание Pourroy B, Botta C, Solas C, Lacarelle B, Braguer D.
Seventy-two-hour stability of Taxol® in 5% dextrose or 0.9% sodium chloride in Viaflo®, Freeflex®, Ecoflac® and Macoflex N® non PVC bags.
J Clin Pharm Ther 2005 ; 30: 455-458.
2172 Списание Donyai P, Sewell GJ.
Physical and chemical stability of paclitaxel infusions in different container types.
J Oncol Pharm Practice 2006 ; 12, 4: 211-222.
2174 Списание Kattige A.
Long-term physical and chemical stability of a generic paclitaxel infusion under simulated storage and clinical-use conditions.
EJHP Science 2006 ; 12, 6: 129-134.
2262 Списание Brammer MK, Chan P, Heatherly K, Trusley C, Kupiec TC, Trissel LA, Psathas PA, Gilmor T, Schaufelberger D.
Compatibility of doripenem with other drugs during simulated Y-site administratioN
Am J Health-Syst Pharm 2008 ; 65: 1261-1265.
3093 Списание Tian J, Stella VJ.
Degradation of paclitaxel and related compounds in aqueous solutions III: Degradation under acidic pH conditions and overall kinetics
J Pharm Sci 2010 ; 99, 3 : 1288-1298.
3277 Списание Yang Z, Cameron S, Paul H.
Stability of Carboplatin, Paclitaxel, and Docetaxel with Acetyl-L-carnitine During Simulated Y-site Administration.
Int J Pharm Compound 2012 ; 16, 1 : 82-85.
3578 Лаборатория Cisplatin - Summary of Product Characteristics
Accord Healthcare 2011

  Mentions Légales