Ultimo aggiornamento :
27/11/2025
Neurolettico   Thiothixene  
Soluzione orale
Stabilità dei preparati farmaceutici Stabilità in miscela Fattori che influenzano la stabilità Compatibilità Bibliografia pdf
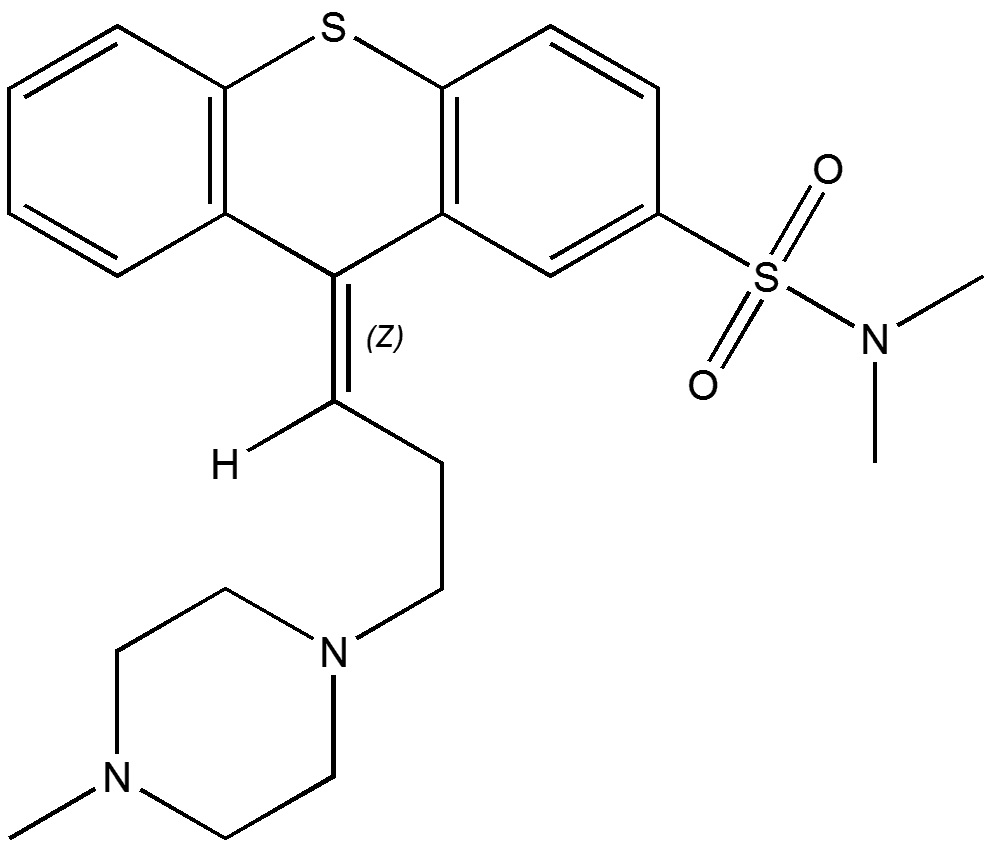
   Struttura chimica  

Soluzione orale
Stabilità dei preparati farmaceutici   Soluzione orale   Stabilità dei preparati farmaceutici : Thiothixene     
Assenza di dati

  Mentions Légales