Zadnji put ažurirano :
27/11/2025
neuroleptici   Thiothixene  
oralna otopina
Stabilnost farmaceutskih pripravaka Stabilnost mješavine Stabilizacijski faktor Kompatibilnosti Bibliografija pdf
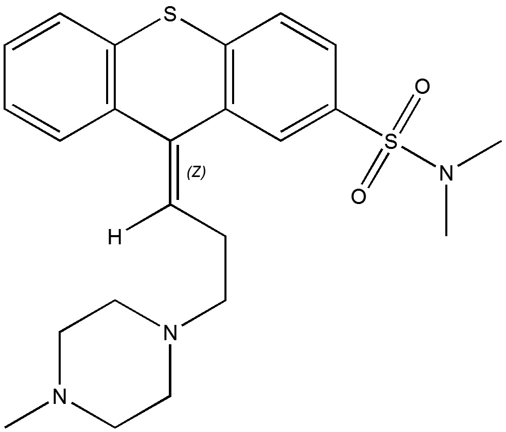
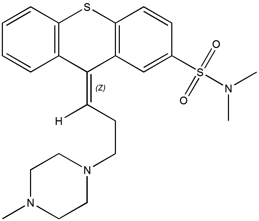
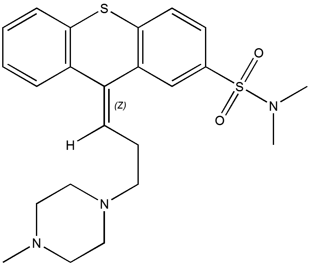
   Kemijska struktura  

oralna otopina
Bibliografija   oralna otopina     Bibliografija : Thiothixene  
Vrsta Publikacija
2630 Časopis Raleigh F.
Incompatibilities with orally administered liquid neuroleptic medication combinations.
Hosp Pharm 1981 ; 16: 486-487.

  Mentions Légales