Последнее обновление :
18/03/2026
Цитостатическое средство   Etoposide  
Раствор для перорального приёма
Инъекция
Стабильность фармацевтических препаратов Стабильность смесей Факторы, которые влияют на стабильность Совместимость Библиография pdf
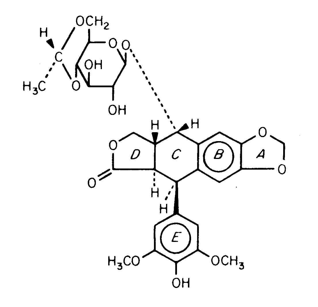
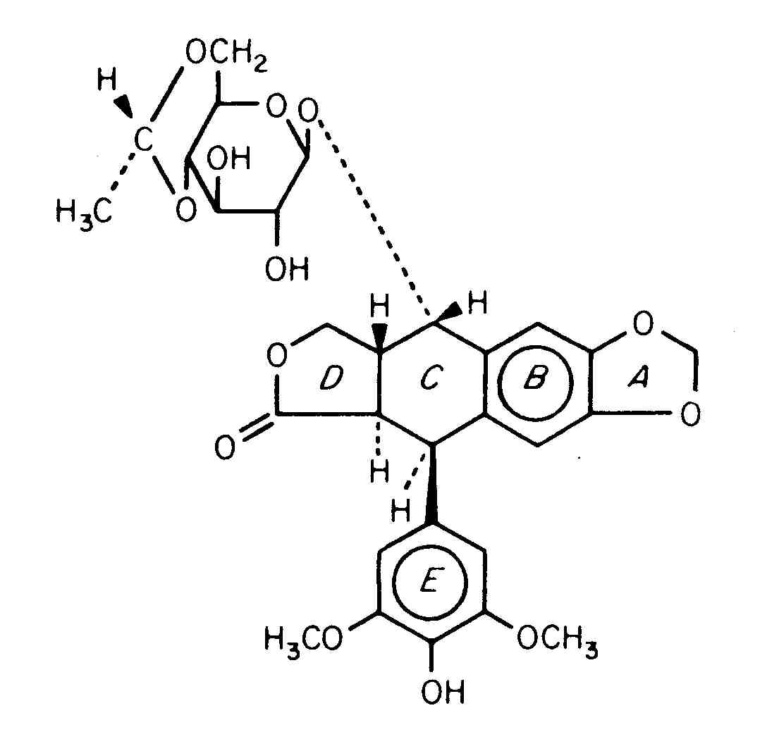
   Химическая структура  

Раствор для перорального приёма
Стабильность смесей   Раствор для перорального приёма   Стабильность смесей : Etoposide     
данных нет

  Mentions Légales