آخر تحديث :
18/03/2026
المضادة للسرطان المخدرات   Etoposide  
عن طريق الفم
حقن
استقرار المستحضرات الصيدلانية استقرار مخاليط العوامل التي تؤثر على الاستقرار التوافق مراجع pdf
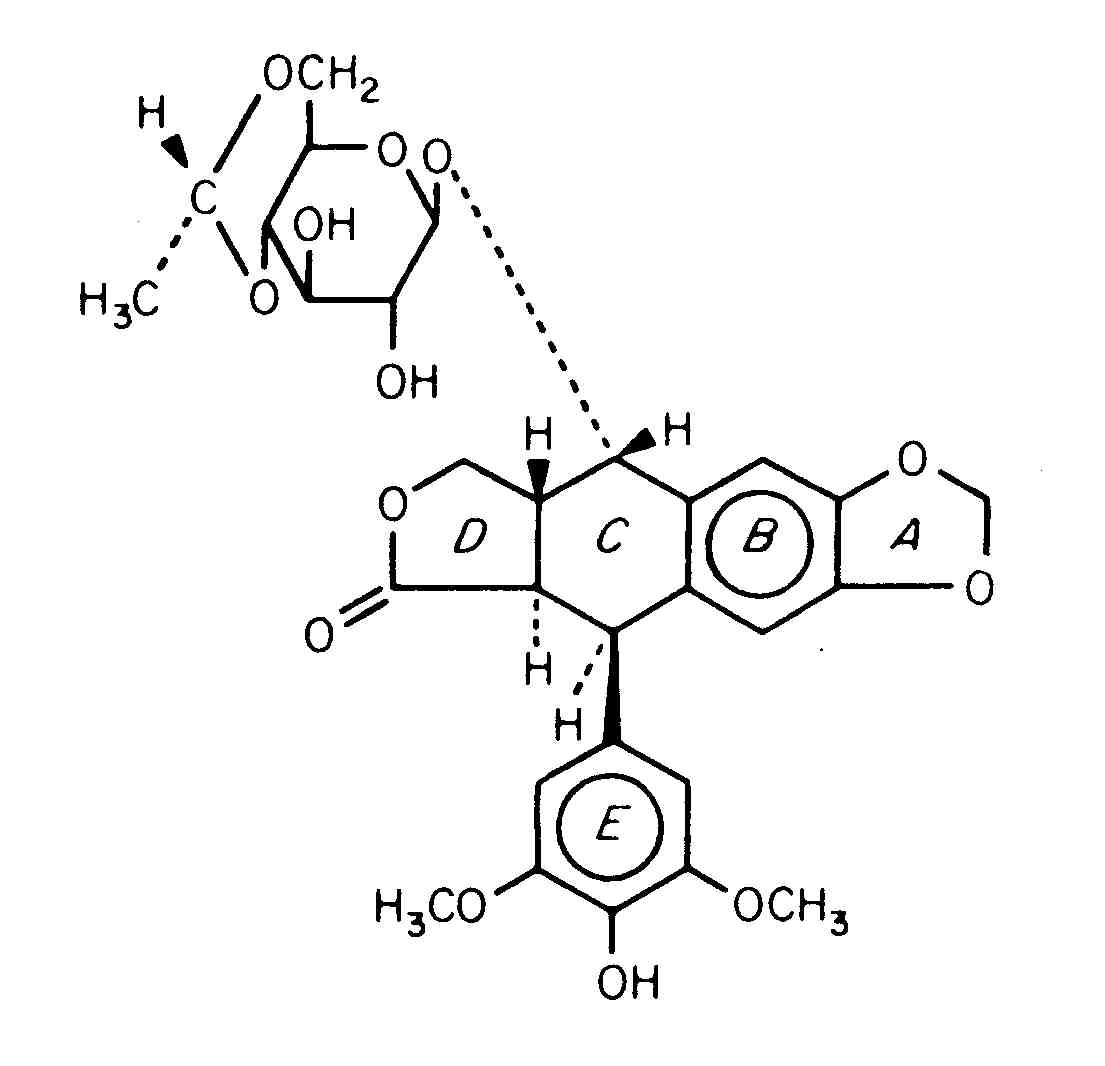
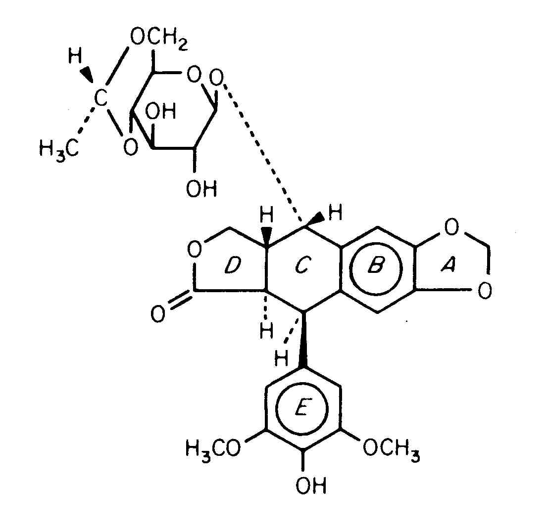
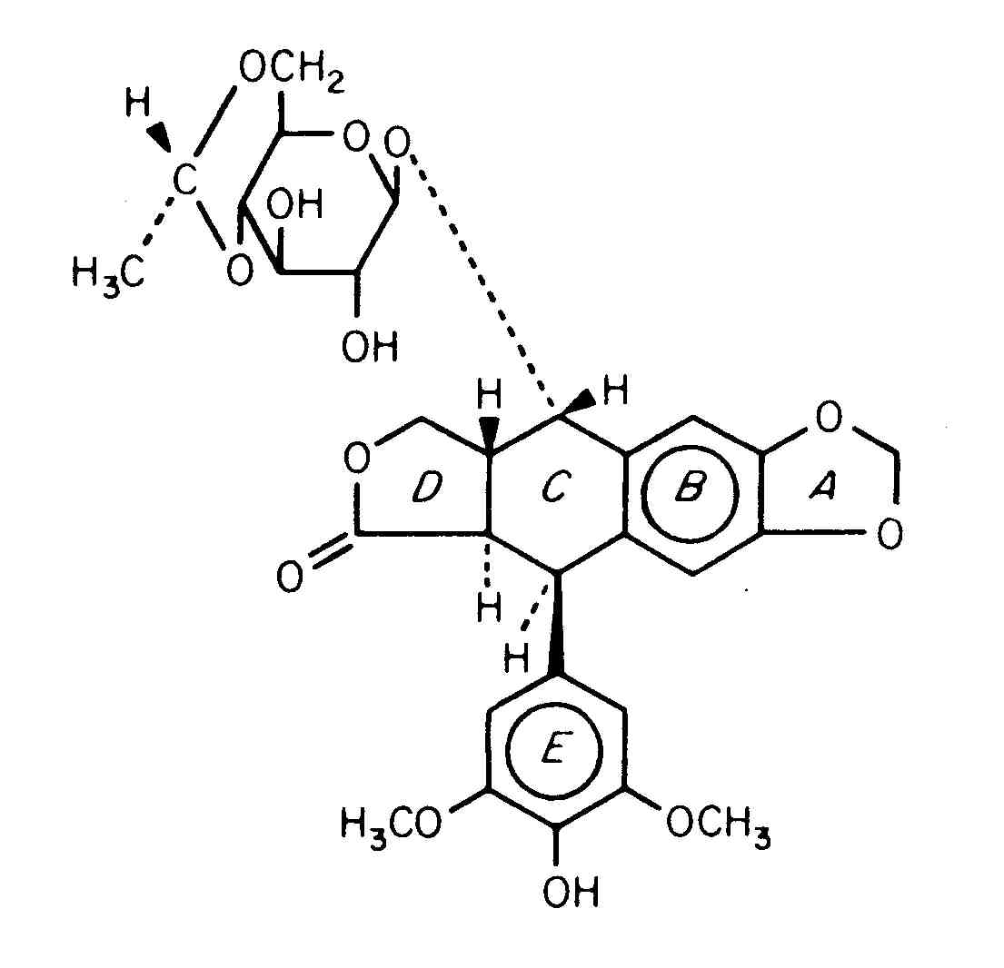
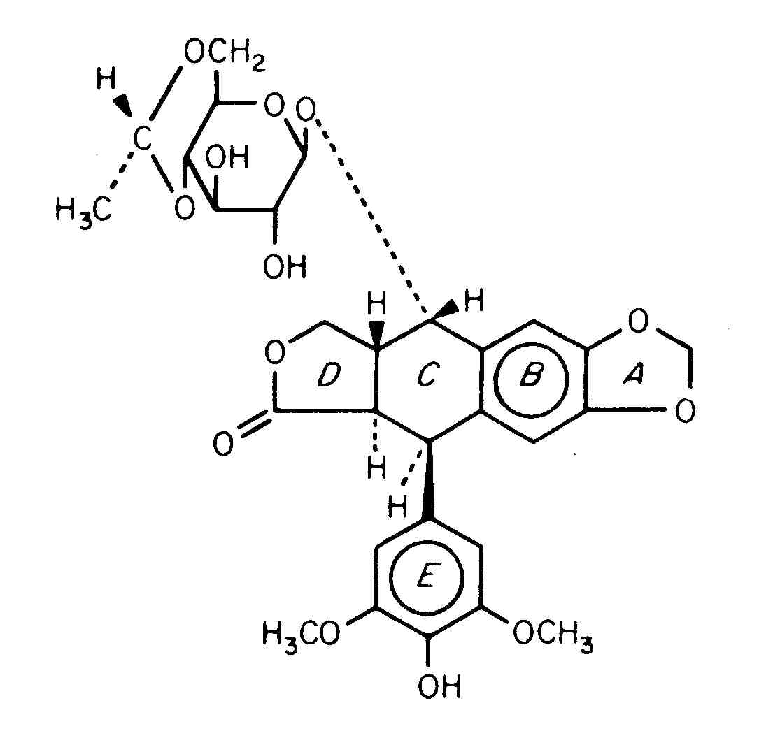
   التركيب الكيميائي  

عن طريق الفم
استقرار مخاليط   عن طريق الفم     استقرار مخاليط : Etoposide     
لا توجد بيانات

  Mentions Légales