Última actualización :
27/11/2025
Antibiótico   Amoxicillin sodium / clavulanic acid  
Solución Oral
Inyectables
La estabilidad de las preparaciones farmacéuticas Estabilidad en mezcla Factores que influyen sobre la estabilidad Compatibilidades Bibliografía pdf
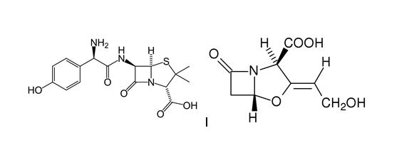
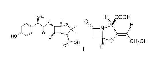
   Estructura química  

Solución Oral
Bibliografía   Solución Oral   Bibliografía : Amoxicillin sodium / clavulanic acid  
Tipo Publicación
2508 periódico Tu YH, Stiles ML, Allen LV, Jr, Olsen KM, Barton CI, Greenwood RB.
Stability of amoxicillin trihydrate-potassium clavulanate in original containers and unit dose oral syringes
Am J Hosp Pharm 1988 ; 45: 1092-1099.
2951 periódico Mehta AC, Hart-Davies S, Payne J, Lacey RW..
Stability of amoxicillin and potassium clavulanate in co-amoxiclav oral suspension.
J Clin Pharm Ther 1994 ; 19: 313-315.

  Mentions Légales