Utolsó frissítés :
27/11/2025
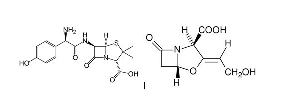
Antibiotikum   Amoxicillin sodium / clavulanic acid  
belsőleges oldat
Injekció
Stabilitása gyógyszerészeti készítmények A keverékek stabilitása Stabilitást befolyásoló tényezők Kompatibilitás Irodalom pdf
   Kémiai szerkezet   

belsőleges oldat
Irodalom   belsőleges oldat   Irodalom : Amoxicillin sodium / clavulanic acid  
Type publikáció
2508 Napló Tu YH, Stiles ML, Allen LV, Jr, Olsen KM, Barton CI, Greenwood RB.
Stability of amoxicillin trihydrate-potassium clavulanate in original containers and unit dose oral syringes
Am J Hosp Pharm 1988 ; 45: 1092-1099.
2951 Napló Mehta AC, Hart-Davies S, Payne J, Lacey RW..
Stability of amoxicillin and potassium clavulanate in co-amoxiclav oral suspension.
J Clin Pharm Ther 1994 ; 19: 313-315.

  Mentions Légales