Ultimo aggiornamento :
18/03/2026
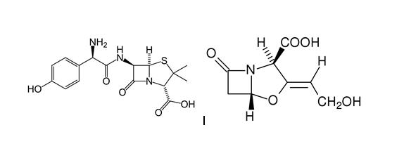
Antibiotico   Amoxicillin sodium / clavulanic acid  
Soluzione orale
Iniezione
Stabilità dei preparati farmaceutici Stabilità in miscela Fattori che influenzano la stabilità Compatibilità Bibliografia pdf
   Struttura chimica  

Soluzione orale
Bibliografia   Soluzione orale   Bibliografia : Amoxicillin sodium / clavulanic acid  
tipo pubblicazione
2508 Rivista Tu YH, Stiles ML, Allen LV, Jr, Olsen KM, Barton CI, Greenwood RB.
Stability of amoxicillin trihydrate-potassium clavulanate in original containers and unit dose oral syringes
Am J Hosp Pharm 1988 ; 45: 1092-1099.
2951 Rivista Mehta AC, Hart-Davies S, Payne J, Lacey RW..
Stability of amoxicillin and potassium clavulanate in co-amoxiclav oral suspension.
J Clin Pharm Ther 1994 ; 19: 313-315.

  Mentions Légales